Chromatic aberration
2008/9 Schools Wikipedia Selection. Related subjects: Space (Astronomy)
| Optical aberration |
|---|
| Piston Tilt |
In optics, chromatic aberration is caused by a lens having a different refractive index for different wavelengths of light (the dispersion of the lens).
Longitudinal and lateral chromatic aberration of a lens is seen as "fringes" of color around the image, because each colour in the optical spectrum cannot be focused at a single common point on the optical axis.
Since the focal length f of a lens is dependent on the refractive index n, different wavelengths of light will be focused on different positions. Chromatic aberration can be both longitudinal, in that different wavelengths are focused at a different distance from the lens; and transverse or lateral, in that different wavelengths are focused at different positions in the focal plane (because the magnification of the lens also varies with wavelength).
Minimizing chromatic aberration
In the earliest uses of lenses, chromatic aberration was reduced by increasing the focal length of the lens where possible. For example, this could result in extremely long telescopes used by such astronomers as Christiaan Huygens.
There exists a point called the circle of least confusion, where chromatic aberration can be minimized. It can be further minimized by using an achromatic lens or achromat, in which materials with differing dispersion are assembled together to form a compound lens. The most common type is an achromatic doublet, with elements made of crown and flint glass. This reduces the amount of chromatic aberration over a certain range of wavelengths, though it does not produce perfect correction. By combining more than two lenses of different composition, the degree of correction can be further increased, as seen in an apochromatic lens or apochromat.
Many types of glass have been developed to reduce chromatic aberration, most notably, glasses containing fluorite. These hybridized glasses have a very low level of optical dispersion; only two compiled lenses made of these substances can yield a high level of correction.
The use of achromats was an important step in the development of the optical microscope.
An alternative to achromatic doublets is the use of diffractive optical elements. Diffractive optical elements have complementary dispersion characteristics to that of optical glasses and plastics. In the visible part of the spectrum, diffractives have an Abbe number of -3.5. Diffractive optical elements can be fabricated using diamond turning techniques.
Mathematics of chromatic aberration minimization
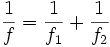
For a doublet consisting of two thin lenses in contact, the Abbe number of the lens materials is used to calculate the correct focal length of the lenses to ensure correction of chromatic aberration. If the focal lengths of the two lenses for light at the yellow Fraunhofer D-line (589.2 nm) are f1 and f2, then best correction occurs for the condition:
where V1 and V2 are the Abbe numbers of the materials of the first and second lenses, respectively. Since Abbe numbers are positive, one of the focal lengths must be negative, i.e. a diverging lens, for the condition to be met.
The overall focal length of the doublet f is given by the standard formula for thin lenses in contact:
and the above condition ensures this will be the focal length of the doublet for light at the blue and red Fraunhofer F and C lines (486.1 nm and 656.3 nm respectively). The focal length for light at other visible wavelengths will be similar but not exactly equal to this.
Image processing to reduce chromatic aberration
Post-processing to remove chromatic aberration usually involves scaling the fringed colour channel, or subtracting some of a scaled version of the fringed channel.
Since for some lenses, degree of chromatic aberration can have quite a complex relationship to the rectangular geometry of the projected image received by the camera focal plane, geometrical operations to reverse the aberration may be quite complex, and software may not have sufficient complexity and data to be able to properly correct an image, even when the subjects affected are in approximately the same focal plane.
Photography
The term " purple fringing" is commonly used in photography, although not all purple fringing can be attributed to chromatic aberration. Similar colored fringing around highlights may also be caused by lens flare. Colored fringing around highlights or dark regions may be due to the receptors for different colors having differing dynamic range or sensitivity -- therefore preserving detail in one or two colour channels, while "blowing out" or failing to register, in the other channel or channels. On digital cameras, the interpolation technique is likely to affect the apparent degree of this problem. Another cause of this fringing is chromatic aberration in the very small microlenses used to collect more light for each CCD pixel; since these lenses are tuned to correctly focus green light, the incorrect focusing of red and blue results in purple fringing around highlights. This is a uniform problem across the frame, and is more of a problem in CCD's with a very small pixel pitch such as those used in non-DSLR digital cameras; as a result, high-end compact cameras (for example, the Panasonic Lumix series) sometimes feature a processing step specifically designed to remove it.
On photographs taken using a digital camera, very small highlights may frequently appear to have chromatic aberration where in fact the effect is because the highlight image is too small to stimulate all three color pixels, and so is recorded with an incorrect colour. This may not occur with all types of digital camera sensor. Again, interpolation techniques may affect the apparent degree of the problem.
Black-and-white photography
Chromatic aberration also affects black and white photography. Although there are no colors in the photograph, chromatic aberration will blur the image. It can be reduced by using a narrow-band color filter, or by converting a single colour channel to black and white. This will, however, require longer exposure. (This of course is only true with panchromatic black and white film, since orthochromatic film is already only sensitive to a limited spectrum.)







