Distance
2008/9 Schools Wikipedia Selection. Related subjects: Mathematics
Distance is a numerical description of how far apart objects are. In physics or everyday discussion, distance may refer to a physical length, a period of time, or an estimation based on other criteria (e.g. "two counties over"). In mathematics, distance must meet more rigorous criteria.
In most cases there is symmetry and "distance from A to B" is interchangeable with "distance between B and A".
Mathematics
Geometry
In neutral geometry, the minimum distance between two points is the length of the line segment between them.
In analytic geometry, the distance between two points of the xy-plane can be found using the distance formula. The distance between (x1, y1) and (x2, y2) is given by
Similarly, given points (x1, y1, z1) and (x2, y2, z2) in three-space, the distance between them is
Which is easily proven by constructing a right triangle with a leg on the hypotenuse of another (with the other leg orthogonal to the plane that contains the 1st triangle) and applying the Pythagorean theorem.
In the study of complicated geometries, we call this (most common) type of distance Euclidean distance, as it is derived from the Pythagorean theorem, which does not hold in Non-Euclidean geometries. This distance formula can also be expanded into the arc-length formula.
Distance in Euclidean space
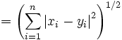
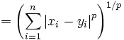
In the Euclidean space Rn, the distance between two points is usually given by the Euclidean distance (2-norm distance). Other distances, based on other norms, are sometimes used instead.
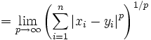
For a point (x1, x2, ...,xn) and a point (y1, y2, ...,yn), the Minkowski distance of order p (p-norm distance) is defined as:
| 1-norm distance | ![]() |
| 2-norm distance | ![]() |
| p-norm distance | ![]() |
| infinity norm distance | ![]() |
![]() |
p need not be an integer, but it cannot be less than 1, because otherwise the triangle inequality does not hold.
The 2-norm distance is the Euclidean distance, a generalization of the Pythagorean theorem to more than two coordinates. It is what would be obtained if the distance between two points were measured with a ruler: the "intuitive" idea of distance.
The 1-norm distance is more colourfully called the taxicab norm or Manhattan distance, because it is the distance a car would drive in a city laid out in square blocks (if there are no one-way streets).
The infinity norm distance is also called Chebyshev distance. In 2D it represents the distance kings must travel between two squares on a chessboard.
The p-norm is rarely used for values of p other than 1, 2, and infinity, but see super ellipse.
In physical space the Euclidean distance is in a way the most natural one, because in this case the length of a rigid body does not change with rotation.
General case
In mathematics, in particular geometry, a distance function on a given set M is a function d: M×M → R, where R denotes the set of real numbers, that satisfies the following conditions:
- d(x,y) ≥ 0, and d(x,y) = 0 if and only if x = y. (Distance is positive between two different points, and is zero precisely from a point to itself.)
- It is symmetric: d(x,y) = d(y,x). (The distance between x and y is the same in either direction.)
- It satisfies the triangle inequality: d(x,z) ≤ d(x,y) + d(y,z). (The distance between two points is the shortest distance along any path).
Such a distance function is known as a metric. Together with the set, it makes up a metric space.
For example, the usual definition of distance between two real numbers x and y is: d(x,y) = |x − y|. This definition satisfies the three conditions above, and corresponds to the standard topology of the real line. But distance on a given set is a definitional choice. Another possible choice is to define: d(x,y) = 0 if x = y, and 1 otherwise. This also defines a metric, but gives a completely different topology, the " discrete topology"; with this definition numbers cannot be arbitrarily close.
Distances between sets and between a point and a set
Various distance definitions are possible between objects. For example, between celestial bodies one should not confuse the surface-to-surface distance and the center-to-centre distance. If the former is much less than the latter, as for a LEO, the first tends to be quoted (altitude), otherwise, e.g. for the Earth-Moon distance, the latter.
There are two common definitions for the distance between two non-empty subsets of a given set:
- One version of distance between two non-empty sets is the infimum of the distances between any two of their respective points, which is the every-day meaning of the word. This is a symmetric prametric. On a collection of sets of which some touch or overlap each other, it is not "separating", because the distance between two different but touching or overlapping sets is zero. Also it is not hemimetric, i.e., the triangle inequality does not hold, except in special cases. Therefore only in special cases this distance makes a collection of sets a metric space.
- The Hausdorff distance is the larger of two values, one being the supremum, for a point ranging over one set, of the infimum, for a second point ranging over the other set, of the distance between the points, and the other value being likewise defined but with the roles of the two sets swapped. This distance makes the set of non-empty compact subsets of a metric space itself a metric space.
The distance between a point and a set is the infimum of the distances between the point and those in the set. This corresponds to the distance, according to the first-mentioned definition above of the distance between sets, from the set containing only this point to the other set.
In terms of this, the definition of the Hausdorff distance can be simplified: it is the larger of two values, one being the supremum, for a point ranging over one set, of the distance between the point and the set, and the other value being likewise defined but with the roles of the two sets swapped.
Distance versus displacement
Distance cannot be negative. Distance is a scalar quantity, containing only a magnitude, whereas displacement is an equivalent vector quantity containing both magnitude and direction.
The distance covered by a vehicle (often recorded by an odometer), person, animal, object, etc. should be distinguished from the distance from starting point to end point, even if latter is taken to mean e.g. the shortest distance along the road, because a detour could be made, and the end point can even coincide with the starting point.
Other "distances"
- Mahalanobis distance is used in statistics.
- Hamming distance is used in coding theory.
- Levenshtein distance
- Chebyshev distance








