Newton's method
2008/9 Schools Wikipedia Selection. Related subjects: Mathematics
In numerical analysis, Newton's method (also known as the Newton– Raphson method or the Newton–Fourier method) is perhaps the best known method for finding successively better approximations to the zeros (or roots) of a real-valued function. Newton's method can often converge remarkably quickly, especially if the iteration begins "sufficiently near" the desired root. Just how near "sufficiently near" needs to be and just how quickly "remarkably quickly" can be depends on the problem, as is discussed in detail below. Unfortunately, far from the desired root, Newton's method can easily lead an unwary user astray, and astray with little warning. Thus, good implementations of the method embed it in a routine that also detects and perhaps overcomes possible convergence failures.
Newton's method can also be used to find a minimum or maximum of such a function, by finding a zero in the function's first derivative, see Newton's method as an optimization algorithm.
The algorithm is first in the class of Householder's methods, succeeded by Halley's method.
Description of the method
The idea of the method is as follows: one starts with an initial guess which is reasonably close to the true root, then the function is approximated by its tangent line (which can be computed using the tools of calculus), and one computes the x-intercept of this tangent line (which is easily done with elementary algebra). This x-intercept will typically be a better approximation to the function's root than the original guess, and the method can be iterated.
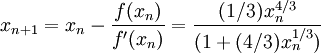
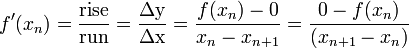
Suppose f : [a, b] → R is a differentiable function defined on the interval [a, b] with values in the real numbers R. The formula for converging on the root can be easily derived. Suppose we have some current approximation xn. Then we can derive the formula for a better approximation, xn+1 by referring to the diagram on the right. We know from the definition of the derivative at a given point that it is the slope of a tangent at that point.
That is
.
Here, f ' denotes the derivative of the function f. Then by simple algebra we can derive
.
We start the process off with some arbitrary initial value x0. (The closer to the zero, the better. But, in the absence of any intuition about where the zero might lie, a "guess and check" method might narrow the possibilities to a reasonably small interval by appealing to the intermediate value theorem.) The method will usually converge, provided this initial guess is close enough to the unknown zero, and that
. Furthermore, for a zero of multiplicity 1, the convergence is at least quadratic (see rate of convergence) in a neighbourhood of the zero, which intuitively means that the number of correct digits roughly at least doubles in every step. More details can be found in the analysis section below.
Example
Consider the problem of finding the positive number x with cos(x) = x3. We can rephrase that as finding the zero of f(x) = cos(x) − x3. We have f '(x) = −sin(x) − 3x2. Since cos(x) ≤ 1 for all x and x3 > 1 for x>1, we know that our zero lies between 0 and 1. We try a starting value of x0 = 0.5.
The correct digits are underlined in the above example. In particular, x6 is correct to the number of decimal places given. We see that the number of correct digits after the decimal point increases from 2 (for x3) to 5 and 10, illustrating the quadratic convergence.
History
Newton's method was described by Isaac Newton in De analysi per aequationes numero terminorum infinitas (written in 1669, published in 1711 by William Jones) and in De metodis fluxionum et serierum infinitarum (written in 1671, translated and published as Method of Fluxions in 1736 by John Colson). However, his description differs substantially from the modern description given above: Newton applies the method only to polynomials. He does not compute the successive approximations xn, but computes a sequence of polynomials and only at the end, he arrives at an approximation for the root x. Finally, Newton views the method as purely algebraic and fails to notice the connection with calculus. Isaac Newton probably derived his method from a similar but less precise method by François Viète. The essence of Viète's method can be found in the work of the Persian mathematician Sharaf al-Din al-Tusi (Ypma 1995). A special case of Newton's method for calculating square roots was known much earlier and is often called the Babylonian method.
Newton's method was first published in 1685 in A Treatise of Algebra both Historical and Practical by John Wallis. In 1690, Joseph Raphson published a simplified description in Analysis aequationum universalis. Raphson again viewed Newton's method purely as an algebraic method and restricted its use to polynomials, but he describes the method in terms of the successive approximations xn instead of the more complicated sequence of polynomials used by Newton. Finally, in 1740, Thomas Simpson described Newton's method as an iterative method for solving general nonlinear equations using fluxional calculus, essentially giving the description above. In the same publication, Simpson also gives the generalization to systems of two equations and notes that Newton's method can be used for solving optimization problems by setting the gradient to zero.
Arthur Cayley in 1879 in The Newton-Fourier imaginary problem was the first who noticed the difficulties in generalizing the Newton's method to complex roots of polynomials with degree greater than 2 and complex initial values. This opened the way to the study of the theory of iterations of rational functions.
Practical considerations
In general the convergence is quadratic: the error is essentially squared at each step (that is, the number of accurate digits doubles in each step). There are some caveats, however. First, Newton's method requires that the derivative be calculated directly. (If the derivative is approximated by the slope of a line through two points on the function, the secant method results; this can be more efficient depending on how one measures computational effort.) Second, if the initial value is too far from the true zero, Newton's method can fail to converge. Because of this, most practical implementations of Newton's method put an upper limit on the number of iterations and perhaps on the size of the iterates. Third, if the root being sought has multiplicity greater than one, the convergence rate is merely linear (errors reduced by a constant factor at each step) unless special steps are taken.
Since the most serious of the problems above is the possibility of a failure of convergence, Press et al. (1992) present a version of Newton's method that starts at the midpoint of an interval in which the root is known to lie and stops the iteration if an iterate is generated that lies outside the interval.
Developers of large scale computer systems involving root finding tend to prefer the secant method over Newton's method because the use of a difference quotient in place of the derivative in Newton's method implies that the additional code to compute the derivative need not be maintained. In practice, the advantages of maintaining a smaller code base usually outweigh the superior convergence characteristics of Newton's method.
Counter examples
Starting point too far away
If the starting point is not close to a root then convergence may fail to occur. Let
and take 0 as the starting point. The first iteration produces 1 and the second iteration returns to 0 so the sequence will oscillate between the two without converging to a root. In general, the behaviour of the sequence can be very complex. (See Newton fractal.)
In the following examples, the desired root is at zero for simplicity—it could have been placed elsewhere.
Discontinuous derivative
If the derivative is not continuous at the root, then convergence may fail to occur in any neighbourhood of the root. Consider the function
Then
and
elsewhere.
Within any neighbourhood of the root, this derivative keeps changing sign as x approaches 0 from the right (or from the left) while
for
.
So
is unbounded near the root and Newton's method will not converge, even though: the function is differentiable everywhere; the derivative is not zero at the root;
is infinitely differentiable except at the root; and the derivative is bounded in a neighbourhood of the root (unlike its reciprocal).
No second derivative
If there is no second derivative at the root, then convergence may fail to be quadratic. Indeed, let
Then
And
except when
where it is undefined. Given
,
which has approximately 4/3 times as many bits of precision as
has. This is less than the 2 times as many which would be required for quadratic convergence. So the convergence of Newton's method (in this case) is not quadratic, even though: the function is continuously differentiable everywhere; the derivative is not zero at the root; and
is infinitely differentiable except at the desired root.
Zero derivative
If the first derivative is zero at the root, then convergence will not be quadratic. Indeed, let
Then
and consequently
. So convergence is not quadratic, even though the function is infinitely differentiable everywhere.
Analysis
Suppose that the function f has a zero at α, i.e., f(α) = 0.
If f is continuously differentiable and its derivative does not vanish at α, then there exists a neighbourhood of α such that for all starting values x0 in that neighbourhood, the sequence {xn} will converge to α.
If the function is continuously differentiable and its derivative does not vanish at α and it has a second derivative at α then the convergence is quadratic or faster. If the second derivative does not vanish at α then the convergence is merely quadratic.
If the derivative does vanish at α, then the convergence is usually only linear. Specifically, if f is twice continuously differentiable,
and
, then there exists a neighbourhood of α such that for all starting values x0 in that neighbourhood, the sequence of iterates converges linearly, with rate log10 2 (Süli & Mayers, Exercise 1.6). Alternatively if
and
elsewhere, in a neighbourhood U of α, α being a zero of multiplicity r and if
then there exists a neighbourhood of α such that for all starting values x0 in that neighbourhood, the sequence of iterates converges linearly.
However, even linear convergence is not guaranteed in pathological situations.
In practice these results are local and the neighbourhood of convergence are not known a priori, but there are also some results on global convergence, for instance, given a right neighbourhood U+ of α, if f is twice differentiable in U+ and if
,
in U+, then, for each x0 in U+ the sequence xk is monotonically decreasing to α.
Generalizations
Nonlinear systems of equations
One may use Newton's method also to solve systems of k (non-linear) equations, which amounts to finding the zeros of continuously differentiable functions F : Rk → Rk. In the formulation given above, one then has to left multiply with the inverse of the k-by-k Jacobian matrix JF(xn) instead of dividing by f '(xn). Rather than actually computing the inverse of this matrix, one can save time by solving the system of linear equations
for the unknown xn+1 − xn. Again, this method only works if the initial value x0 is close enough to the true zero. Typically, a region which is well-behaved is located first with some other method and Newton's method is then used to "polish" a root which is already known approximately.
Nonlinear equations in a Banach space
Another generalization is the Newton's method to find a zero of a function F defined in a Banach space. In this case the formulation is
,
where
is the Fréchet derivative applied at the point Xn. One needs the Fréchet derivative to be invertible at each Xn in order for the method to be applicable.
Complex functions
When dealing with complex functions, however, Newton's method can be directly applied to find their zeros. For many complex functions, the boundary of the set (also known as the basin of attraction) of all starting values that cause the method to converge to a particular zero is a fractal.











