Surface tension
2008/9 Schools Wikipedia Selection. Related subjects: Materials science; Physics
| Continuum mechanics | ||||||||
![]() |
||||||||
| Conservation of mass Conservation of momentum Navier–Stokes equations
|
||||||||
Surface tension is a property of the surface of a liquid that causes it to behave as an elastic sheet. It allows insects, such as the water strider (pond skater, UK), to walk on water. It allows small objects, even metal ones such as needles, razor blades, or foil fragments, to float on the surface of water, and it is the cause of capillary action.
The physical and chemical behaviour of liquids cannot be understood without taking surface tension into account. It governs the shape that small masses of liquid can assume and the degree of contact a liquid can make with another substance.
Applying Newtonian physics to the forces that arise due to surface tension accurately predicts many liquid behaviors that are so commonplace that most people take them for granted. Applying thermodynamics to those same forces further predicts other more subtle liquid behaviors.
Cause
Surface tension is caused by the attraction between the molecules of the liquid by various intermolecular forces. In the bulk of the liquid each molecule is pulled equally in all directions by neighboring liquid molecules, resulting in a net force of zero. At the surface of the liquid, the molecules are pulled inwards by other molecules deeper inside the liquid and are not attracted as intensely by the molecules in the neighbouring medium (be it vacuum, air or another liquid). Therefore all of the molecules at the surface are subject to an inward force of molecular attraction which can be balanced only by the resistance of the liquid to compression. This inward pull tends to diminish the surface area, and in this respect a liquid surface resembles a stretched elastic membrane. Thus the liquid squeezes itself together until it has the locally lowest surface area possible.
Another way to view it is that a molecule in contact with a neighbor is in a lower state of energy than if it weren't in contact with a neighbour. The interior molecules all have as many neighbors as they can possibly have. But the boundary molecules have fewer neighbors than interior molecules and are therefore in a higher state of energy. For the liquid to minimize its energy state, it must minimize its number of boundary molecules and must therefore minimize its surface area.
As a result of surface area minimization, a surface will assume the smoothest shape it can (mathematical proof that "smooth" shapes minimize surface area relies on use of the Euler-Lagrange Equation). Since any curvature in the surface shape results in greater area, a higher energy will also result. Consequently the surface will push back against any curvature in much the same way as a ball pushed uphill will push back to minimize its gravitational potential energy.
Effects in everyday life
Some examples of the effects of surface tension seen with ordinary water:
- Beading of rain water on the surface of a waxed automobile. Water adheres weakly to wax and strongly to itself, so water clusters into drops. Surface tension gives them their near-spherical shape, because a sphere has the smallest possible surface area to volume ratio.
- Formation of drops occurs when a mass of liquid is stretched. The animation shows water adhering to the faucet gaining mass until it is stretched to a point where the surface tension can no longer bind it to the faucet. It then separates and surface tension forms the drop into a sphere. If a stream of water were running from the faucet, the stream would break up into drops during its fall. Gravity stretches the stream, then surface tension pinches it into spheres.
- Floatation of objects denser than water occurs when the object is nonwettable and its weight is small enough to be born by the forces arising from surface tension.
- Separation of oil and water is caused by a tension in the surface between dissimilar liquids. This type of surface tension goes by the name "interface tension", but its physics are the same.
- Tears of wine is the formation of drops and rivulets on the side of a glass containing an alcoholic beverage. Its cause is a complex interaction between the differing surface tensions of water and ethanol.
Surface tension is visible in other common phenomena, especially when certain substances, surfactants, are used to decrease it:
- Soap bubbles have very large surface areas with very little bulk. Bubbles in pure water are unstable. The use of surfactants, though, indroduce a stabilization effect to bubble (see Marangoni effect). Notice that surfactants actually reduce the surface tension of water by a factor of three or more.
- Emulsions are a type of solution in which surface tension plays a role. Tiny fragments of oil suspended in pure water will spontaneously assemble themselves into much larger masses. But the presence of a surfactant provides a decrease in surface tension, which permits stability of minute droplets of oil in the bulk of water (or vice versa).
Basic physics
Two definitions

, depresses the surface, and is balanced by the surface tension forces on either side,
, which are each parallel to the water's surface at the points where it contacts the needle. Notice that the horizontal components of the two
arrows point in opposite directions, so they cancel each other, but the vertical components point in the same direction and therefore add up to balance
.Surface tension, represented by the symbol σ, γ or T, is defined as the force along a line of unit length, where the force is parallel to the surface but perpendicular to the line. One way to picture this is to imagine a flat soap film bounded on one side by a taut thread of length, L. The thread will be pulled toward the interior of the film by a force equal to 2γL (the factor of 2 is because the soap film has two sides hence two surfaces). Surface tension is therefore measured in forces per unit length. Its SI unit is newton per metre but the cgs unit of dynes per cm is most commonly used.
An equivalent definition, one that is useful in thermodynamics, is work done per unit area. As such, in order to increase the surface area of a mass of liquid by an amount, δA, a quantity of work, γδA, is needed. This work is stored as potential energy. Consequently surface tension can be also measured in SI system as joules per metre2 and in the cgs system as ergs per cm2. Since mechanical systems try to find a state of minimum potential energy, a free droplet of liquid naturally assumes a spherical shape, which has the minimum surface area for a given volume.
The equivalence of measurement of energy per unit area to force per unit length can be proven by dimensional analysis.
Water striders
The photograph shows water striders standing on the surface of a pond. It is clearly visible that their feet cause indentations in the water's surface. And it is intuitively evident that the surface with indentations has more surface area than a flat surface. If surface tension tends to minimize surface area, how is it that the water striders are increasing the surface area?
Recall that what nature really tries to minimize is potential energy. By increasing the surface area of the water, the water striders have increased the potential energy of that surface. But note also that the water striders' center of mass is lower than it would be if they were standing on a flat surface. So their potential energy is decreased. Indeed when you combine the two effects, the net potential energy is minimized. If the water striders depressed the surface any more, the increased surface energy would more than cancel the decreased energy of lowering the insects' center of mass. If they depressed the surface any less, their higher centre of mass would more than cancel the reduction in surface energy.
The photo of the water striders also illustrates the notion of surface tension being like having an elastic film over the surface of the liquid. In the surface depressions at their feet it is easy to see that the reaction of that imagined elastic film is exactly countering the weight of the insects.
Surface curvature and pressure
If no force acts normal to a tensioned surface, the surface must remain flat. But if the pressure on one side of the surface differs from pressure on the other side, the pressure difference times surface area results in a normal force. In order for the surface tension forces to cancel the force due to pressure, the surface must be curved. The diagram shows how surface curvature of a tiny patch of surface leads to a net component of surface tension forces acting normal to the centre of the patch. When all the forces are balanced, the resulting equation is known as the Young-Laplace equation:
where:
-
- ΔP is the pressure difference.
- γ is surface tension.
- Rx and Ry are radii of curvature in each of the axes that are parallel to the surface.
Solutions to this equation determine the shape of water drops, puddles, menisci, soap bubbles, and all other shapes determined by surface tension (such as the shape of the impressions that a water strider's feet make on the surface of a pond).
The table below shows how the internal pressure of a water droplet increases with decreasing radius. For not very small drops the effect is subtle, but the pressure difference becomes enormous when the drop sizes approach the molecular size.
| ΔP for water drops of different radii at STP | ||||
|---|---|---|---|---|
| Droplet radius | 1 mm | 0.1 mm | 1 μm | 10 nm |
| ΔP ( atm) | 0.0014 | 0.0144 | 1.436 | 143.6 |
Liquid surface as a computer
To find the shape of the minimal surface bounded by some arbitrary shaped frame using strictly mathematical means can be a daunting task. Yet by fashioning the frame out of wire and dipping it in soap-solution, an approximately minimal surface (exact in the absence of gravity) will appear in the resulting soap-film within seconds. Without a single calculation, the soap-film arrives at a solution to a complex minimization equation on its own.
The reason for this is that the pressure difference across a fluid interface is proportional to the mean curvature, as seen in the Young-Laplace equation. For an open soap film, the pressure difference is zero, hence the mean curvature is zero, and minimal surfaces have the property of zero mean curvature.
Contact angles
Since no liquid can exist in a perfect vacuum, the surface of any liquid is an interface between that liquid and some other medium. The top surface of a pond, for example, is an interface between the pond water and the air. Surface tension, then, is not a property of the liquid alone, but a property of the liquid's interface with another medium. If a liquid is in a container, then besides the liquid/air interface at its top surface, there is also an interface between the liquid and the walls of the container. The surface tension between the liquid and air is usually different (greater than) its surface tension with the walls of a container. And where the two surfaces meet, their geometry must be such that all forces balance.
Where the two surfaces meet, they form a contact angle,
, which is the angle the tangent to the surface makes with the solid surface. The diagram to the right shows two examples. The example on the left is where the liquid-solid surface tension,
, is less than the liquid-air surface tension,
, but is nevertheless positive, that is
In the diagram, both the vertical and horizontal forces must cancel exactly at the contact point. The horizontal component of
is canceled by the adhesive force,
.
The more telling balance of forces, though, is in the vertical direction. The vertical component of
must exactly cancel the force,
.
| Liquid | Solid | Contact angle | |||
|---|---|---|---|---|---|
| water |
|
0° | |||
| ethanol | |||||
| diethyl ether | |||||
| carbon tetrachloride | |||||
| glycerol | |||||
| acetic acid | |||||
| water | paraffin wax | 107° | |||
| silver | 90° | ||||
| methyl iodide | soda-lime glass | 29° | |||
| lead glass | 30° | ||||
| fused quartz | 33° | ||||
| mercury | soda-lime glass | 140° | |||
| Some liquid-solid contact angles | |||||
Since the forces are in direct proportion to their respective surface tensions, we also have:
where
-
is the liquid-solid surface tension,
is the liquid-air surface tension,
is the contact angle, where a concave meniscus has contact angle less than 90° and a convex meniscus has contact angle of greater than 90°.
This means that although the liquid-solid surface tension,
, is difficult to measure directly, it can be inferred from the easily measured contact angle,
, if the liquid-air surface tension,
, is known.
This same relationship exists in the diagram on the right. But in this case we see that because the contact angle is less than 90°, the liquid/solid surface tension must be negative:
Special contact angles
Observe that in the special case of a water-silver interface where the contact angle is equal to 90°, the liquid-solid surface tension is exactly zero. It is difficult to clean the floor if liquids with contact angle ≈ 0°spills, like petrol, kerosene, benzene, etc.
Another special case is where the contact angle is exactly 180°. Water with specially prepared Teflon® approaches this. Contact angle of 180° occurs when the liquid-solid surface tension is exactly equal to the liquid-air surface tension.
Methods of measurement
Because surface tension manifests itself in various effects, it offers a number of paths to its measurement. Which method is optimum depends upon the nature of the liquid being measured, the conditions under which its tension is to be measured, and the stability of its surface when it is deformed.
- Du Noüy Ring method: The traditional method used to measure surface or interfacial tension. Wetting properties of the surface or interface have little influence on this measuring technique. Maximum pull exerted on the ring by the surface is measured.
- A miniaturized version of Du Noüy method uses a small diameter metal needle instead of a ring, in combination with a high sensitivity microbalance to record maximum pull. The advantage of this method is that very small sample volumes (down to few tens of microliters) can be measured with very high precision, without the need to correct for buoyancy (for a needle or rather, rod, with proper geometry). Further, the measurement can be performed very quickly, minimally in about 20 seconds. First commercial multichannel tensiometers [CMCeeker] were recently built based on this principle.
- Wilhelmy plate method: A universal method especially suited to check surface tension over long time intervals. A vertical plate of known perimeter is attached to a balance, and the force due to wetting is measured.
- Spinning drop method: This technique is ideal for measuring low interfacial tensions. The diameter of a drop within a heavy phase is measured while both are rotated.
- Pendant drop method: Surface and interfacial tension can be measured by this technique, even at elevated temperatures and pressures. Geometry of a drop is analyzed optically. For details, see Drop.
- Bubble pressure method (Jaeger's method): A measurement technique for determining surface tension at short surface ages. Maximum pressure of each bubble is measured.
- Drop volume method: A method for determining interfacial tension as a function of interface age. Liquid of one density is pumped into a second liquid of a different density and time between drops produced is measured.
- Capillary rise method: The end of a capillary is immersed into the solution. The height at which the solution reaches inside the capillary is related to the surface tension by the equation discussed below.
- Stalagmometric method: A method of weighting and reading a drop of liquid.
- Sessile drop method: A method for determining surface tension and density by placing a drop on a substrate and measuring the contact angle (see Sessile drop technique).
Effects
Liquid in a vertical tube
An old style mercury barometer consists of a vertical glass tube about 1 cm in diameter partially filled with mercury, and with a vacuum (called Toricelli's vacuum) in the unfilled volume (see diagram to the right). Notice that the mercury level at the center of the tube is higher than at the edges, making the upper surface of the mercury dome-shaped. The centre of mass of the entire column of mercury would be slightly lower if the top surface of the mercury were flat over the entire crossection of the tube. But the dome-shaped top gives slightly less surface area to the entire mass of mercury. Again the two effects combine to minimize the total potential energy. Such a surface shape is known as a convex meniscus.
The reason we consider the surface area of the entire mass of mercury, including the part of the surface that is in contact with the glass, is because mercury does not adhere at all to glass. So the surface tension of the mercury acts over its entire surface area, including where it is in contact with the glass. If instead of glass, the tube were made out of copper, the situation would be very different. Mercury aggressively adheres to copper. So in a copper tube, the level of mercury at the centre of the tube will be lower rather than higher than at the edges (that is, it would be a concave meniscus). In a situation where the liquid adheres to the walls of its container, we consider the part of the fluid's surface area that is in contact with the container to have negative surface tension. The fluid then works to maximize the contact surface area. So in this case increasing the area in contact with the container decreases rather than increases the potential energy. That decrease is enough to compensate for the increased potential energy associated with lifting the fluid near the walls of the container.
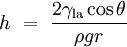
If a tube is sufficiently narrow and the liquid adhesion to its walls is sufficiently strong, surface tension can draw liquid up the tube in a phenomenon known as capillary action. The height the column is lifted to is given by:
where
-
is the height the liquid is lifted,
is the liquid-air surface tension,
is the density of the liquid,
is the radius of the capillary,
is the acceleration due to gravity,
is the angle of contact described above. Note that if
is greater than 90°, as with mercury in a glass container, the liquid will be depressed rather than lifted.
Puddles on a surface
Pouring mercury onto a horizontal flat sheet of glass results in a puddle that has a perceptible thickness (do not try this except under a fume hood. Mercury vapor is a toxic hazard). The puddle will spread out only to the point where it is a little under half a centimeter thick, and no thinner. Again this is due to the action of mercury's strong surface tension. The liquid mass flattens out because that brings as much of the mercury to as low a level as possible. But the surface tension, at the same time, is acting to reduce the total surface area. The result is the compromise of a puddle of a nearly fixed thickness.
The same surface tension demonstration can be done with water, but only on a surface made of a substance that the water does not adhere to. Wax is such a substance. Water poured onto a smooth, flat, horizontal wax surface, say a waxed sheet of glass, will behave similarly to the mercury poured onto glass.
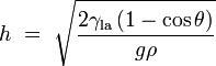
The thickness of a puddle of liquid on a surface whose contact angle is 180° is given by:
where
-
is the depth of the puddle in centimeters or meters.
is the surface tension of the liquid in dynes per centimeter or newtons per meter.
is the acceleration due to gravity and is equal to 980 cm/s2 or 9.8 m/s2
is the density of the liquid in grams per cubic centimeter or kilograms per cubic meter
In reality, the thicknesses of the puddles will be slightly less than what is predicted by the above formula because very few surfaces have a contact angle of 180° with any liquid. When the contact angle is less than 180°, the thickness is given by:
For mercury on glass,
,
, and
, which gives
. For water on paraffin at 25 °C,
,
, and
which gives
.
The formula also predicts that when the contact angle is 0°, the liquid will spread out into a micro-thin layer over the surface. Such a surface is said to be fully wettable by the liquid.
The break up of streams into drops
In day to day life we all observe that a stream of water emerging from a faucet will break up into droplets, no matter how smoothly the stream is emitted from the faucet. This is due to a phenomenon called the Plateau-Rayleigh instability, which is entirely a consequence of the effects of surface tension.
The explanation of this instability begins with the existence of tiny perturbations in the stream. These are always present, no matter how smooth the stream is. If the perturbations are resolved into sinusoidal components, we find that some components grow with time while others decay with time. Among those that grow with time, some grow at faster rates than others. Whether a component decays or grows, and how fast it grows is entirely a function of its wave number (a measure of how many peaks and troughs per centimeter) and the radius of the original cylindrical stream. The diagram to the right shows an exaggeration of a single component.
By assuming that all possible components exist initially in roughly equal (but minuscule) amplitudes, the size of the final drops can be predicted by determining by wave number which component grows the fastest. As time progresses, it is the component whose growth rate is maximum that will come to dominate and will eventually be the one that pinches the stream into drops.
Although a thorough understanding of how this happens requires a mathematical development (see references), the diagram can provide a conceptual understanding. Observe the two bands shown girdling the stream – one at a peak and the other at a trough of the wave. At the trough, the radius of the stream is smaller, hence according to the Young-Laplace equation (discussed above) the pressure due to surface tension is increased. Likewise at the peak the radius of the stream is greater and, by the same reasoning, pressure due to surface tension is reduced. If this were the only effect, we would expect that the higher pressure in the trough would squeeze liquid into the lower pressure region in the peak. In this way we see how the wave grows in amplitude over time.
But the Young-Laplace equation is influenced by two separate radius components. In this case one is the radius, already discussed, of the stream itself. The other is the radius of curvature of the wave itself. The fitted arcs in the diagram show these at a peak and at a trough. Observe that the radius of curvature at the trough is, in fact, negative, meaning that, according to Young-Laplace, it actually decreases the pressure in the trough. Likewise the radius of curvature at the peak is positive and increases the pressure in that region. The effect of these components is opposite the effects of the radius of the stream itself.
The two effects, in general, do not exactly cancel. One of them will have greater magnitude than the other, depending upon wave number and the initial radius of the stream. When the wave number is such that the radius of curvature of the wave dominates that of the radius of the stream, such components will decay over time. When the effect of the radius of the stream dominates that of the curvature of the wave, such components grow exponentially with time.
When all the math is done, it is found that unstable components (that is, components that grow over time) are only those where the product of the wave number with the initial radius is less than unity (
). The component that grows the fastest is the one whose wave number satisfies the equation:
Thermodynamics
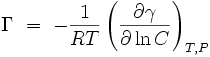
As stated above, the mechanical work needed to increase a surface is
. Hence at constant temperature and pressure, surface tension equals Gibbs free energy per surface area:
where
is Gibbs free energy and
is the area.
Thermodynamics requires that all spontaneous changes of state are accompanied by a decrease in Gibbs free energy.
From this it is easy to understand why decreasing the surface area of a mass of liquid is always spontaneous (
), provided it is not coupled to any other energy changes. It follows that in order to increase surface area, a certain amount of energy must be added.
Gibbs free energy is defined by the equation,
, where
is enthalpy and
is entropy. Based upon this and the fact that surface tension is Gibbs free energy per unit area, it is possible to obtain the following expression for entropy per unit area:
Kelvin's Equation for surfaces arises by rearranging the previous equations. It states that surface enthalpy or surface energy (different from surface free energy) depends both on surface tension and its derivative with temperature at constant pressure by the relationship.
Influence of temperature

Surface tension is dependent on temperature. For that reason, when a value is given for the surface tension of an interface, temperature must be explicitly stated. The general trend is that surface tension decreases with the increase of temperature, reaching a value of 0 at the critical temperature. For further details see Eötvös rule. There are only empirical equations to relate surface tension and temperature:
- Eötvös:
-
is the molar volume of that substance
is the critical temperature
is a constant for each substance.
For example for water k = 1.03 erg/°C (103 nJ/ K), V = 18 ml/mol and TC = 374 °C.
A variant on Eötvös is described by Ramay and Shields:
where the temperature offset of 6 kelvins provides the formula with a better fit to reality at lower temperatures.
- Guggenheim-Katayama:
is a constant for each liquid and n is an empirical factor, whose value is 11/9 for organic liquids. This equation was also proposed by van der Waals, who further proposed that
could be given by the expression,
, where
is a universal constant for all liquids, and
is the critical pressure of the liquid (although later experiments found
to vary to some degree from one liquid to another).
Both Guggenheim-Katayama and Eötvös take into account the fact that surface tension reaches 0 at the critical temperature, whereas Ramay and Shields fails to match reality at this endpoint.
Influence of solute concentration
Solutes can have different effects on surface tension depending on their structure:
- No effect, for example sugar
- Increase of surface tension, inorganic salts
- Decrease surface tension progressively, alcohols
- Decrease surface tension and, once a minimum is reached, no more effect: surfactants
What complicates the effect is that a solute can exist in a different concentration at the surface of a solvent than in its bulk. This difference varies from one solute/solvent combination to another.
Gibbs isotherm states that: 
is known as surface concentration, it represents excess of solute per unit area of the surface over what would be present if the bulk concentration prevailed all the way to the surface. It has units of mol/m2
is the concentration of the substance in the bulk solution.
is the gas constant and
the temperature
Certain assumptions are taken in its deduction, therefore Gibbs isotherm can only be applied to ideal (very dilute) solutions with two components.
Influence of particle size on vapour pressure
The Clausius-Clapeyron relation leads to another equation also attributed to Kelvin. It explains why, because of surface tension, the vapor pressure for small droplets of liquid in suspension is greater than standard vapor pressure of that same liquid when the interface is flat. That is to say that when a liquid is forming small droplets, the equilibrium concentration of its vapor in its surroundings is greater. This arises because the pressure inside the droplet is greater than outside.
-
is the standard vapor pressure for that liquid at that temperature and pressure.
is the molar volume.
is the gas constant
rk is the Kelvin radius, the radius of the droplets.
The effect explains supersaturation of vapors. In the absence of nucleation sites, tiny droplets must form before they can evolve into larger droplets. This requires a vapor pressure many times the vapor pressure at the phase transition point.
This equation is also used in catalyst chemistry to assess mesoporosity for solids.
The effect can be viewed in terms of the average number of molecular neighbors of surface molecules (see diagram).
The table shows some calculated values of this effect for water at different drop sizes:
| P/P0 for water drops of different radii at STP | ||||
|---|---|---|---|---|
| Droplet radius (nm) | 1000 | 100 | 10 | 1 |
| P/P0 | 1.001 | 1.011 | 1.114 | 2.95 |
The effect becomes clear for very small drop sizes, as a drop of 1 nm radius has about 100 molecules inside, which is a quantity small enough to require a quantum mechanics analysis.
Data table
Data are taken from Lange's Handbook of Chemistry, 10th ed. pp 1661-1665
| Surface tension of various liquids in dyn/cm against air Mixture %'s are by weight |
||
|---|---|---|
| Liquid | Temperature °C | Surface tension, γ |
| Acetic acid | 20 | 27.6 |
| Acetic acid (40.1%) + Water | 30 | 40.68 |
| Acetic acid (10.0%) + Water | 30 | 54.56 |
| Acetone | 20 | 23.7 |
| Diethyl ether | 20 | 17.0 |
| Ethanol | 20 | 22.27 |
| Ethanol (40%) + Water | 25 | 29.63 |
| Ethanol (11.1%) + Water | 25 | 46.03 |
| Glycerol | 20 | 63 |
| n-Hexane | 20 | 18.4 |
| Hydrochloric acid 17.7 M aqueous solution | 20 | 65.95 |
| Isopropanol | 20 | 21.7 |
| Mercury | 15 | 487 |
| Methanol | 20 | 22.6 |
| n-Octane | 20 | 21.8 |
| Sodium chloride 6.0 M aqueous solution | 20 | 82.55 |
| Sucrose (55%) + water | 20 | 76.45 |
| Water | 0 | 75.64 |
| Water | 25 | 71.97 |
| Water | 50 | 67.91 |
| Water | 100 | 58.85 |




















where 





, where
is the radius of the unperturbed stream,
is the amplitude of the perturbation,
is distance along the axis of the stream, and 







