Wave
2008/9 Schools Wikipedia Selection. Related subjects: Mathematics; Physics
A wave is a disturbance that propagates through space and time, usually with transference of energy. While a mechanical wave exists in a medium (which on deformation is capable of producing elastic restoring forces), waves of electromagnetic radiation (and probably gravitational radiation) can travel through vacuum, that is, without a medium. Waves travel and transfer energy from one point to another, often with little or no permanent displacement of the particles of the medium (that is, with little or no associated mass transport); instead there are oscillations around almost fixed positions.
Definitions
Agreeing on a single, all-encompassing definition for the term wave is non-trivial. A vibration can be defined as a back-and-forth motion around a point m around a reference value. However, defining the necessary and sufficient characteristics that qualify a phenomenon to be called a wave is, at least, flexible. The term is often understood intuitively as the transport of disturbances in space, not associated with motion of the medium occupying this space as a whole. In a wave, the energy of a vibration is moving away from the source in the form of a disturbance within the surrounding medium (Hall, 1980: 8). However, this notion is problematic for a standing wave (for example, a wave on a string), where energy is moving in both directions equally, or for electromagnetic / light waves in a vacuum, where the concept of medium does not apply.
For such reasons, wave theory represents a peculiar branch of physics that is concerned with the properties of wave processes independently from their physical origin (Ostrovsky and Potapov, 1999). The peculiarity lies in the fact that this independence from physical origin is accompanied by a heavy reliance on origin when describing any specific instance of a wave process. For example, acoustics is distinguished from optics in that sound waves are related to a mechanical rather than an electromagnetic wave-like transfer / transformation of vibratory energy. Concepts such as mass, momentum, inertia, or elasticity, become therefore crucial in describing acoustic (as opposed to optic) wave processes. This difference in origin introduces certain wave characteristics particular to the properties of the medium involved (for example, in the case of air: vortices, radiation pressure, shock waves, etc., in the case of solids: Rayleigh waves, dispersion, etc., and so on).
Other properties, however, although they are usually described in an origin-specific manner, may be generalized to all waves. For example, based on the mechanical origin of acoustic waves there can be a moving disturbance in space-time if and only if the medium involved is neither infinitely stiff nor infinitely pliable. If all the parts making up a medium were rigidly bound, then they would all vibrate as one, with no delay in the transmission of the vibration and therefore no wave motion (or rather infinitely fast wave motion). On the other hand, if all the parts were independent, then there would not be any transmission of the vibration and again, no wave motion (or rather infinitely slow wave motion). Although the above statements are meaningless in the case of waves that do not require a medium, they reveal a characteristic that is relevant to all waves regardless of origin: within a wave, the phase of a vibration (that is, its position within the vibration cycle) is different for adjacent points in space because the vibration reaches these points at different times.
Similarly, wave processes revealed from the study of wave phenomena with origins different from that of sound waves can be equally significant to the understanding of sound phenomena. A relevant example is Young's principle of interference (Young, 1802, in Hunt, 1978: 132). This principle was first introduced in Young's study of light and, within some specific contexts (for example, scattering of sound by sound), is still a researched area in the study of sound.
Characteristics
Periodic waves are characterized by crests (highs) and troughs (lows), and may usually be categorized as either longitudinal or transverse. Transverse waves are those with vibrations perpendicular to the direction of the propagation of the wave; examples include waves on a string and electromagnetic waves. Longitudinal waves are those with vibrations parallel to the direction of the propagation of the wave; examples include most sound waves.
When an object bobs up and down on a ripple in a pond, it experiences an orbital trajectory because ripples are not simple transverse sinusoidal waves.
Ripples on the surface of a pond are actually a combination of transverse and longitudinal waves; therefore, the points on the surface follow orbital paths.
All waves have common behaviour under a number of standard situations. All waves can experience the following:
- Reflection - wave direction change from hitting a reflective surface
- Refraction - wave direction change from entering a new medium
- Diffraction - wave circular spreading from entering a hole of comparable size to their wavelengths
- Interference - superposition of two waves that come into contact with each other (collide)
- Dispersion - wave splitting up by frequency
- Rectilinear propagation - The movement of light wave in a straight line
Polarization
A wave is polarized if it can only oscillate in one direction. The polarization of a transverse wave describes the direction of oscillation, in the plane perpendicular to the direction of travel. Longitudinal waves such as sound waves do not exhibit polarization, because for these waves the direction of oscillation is along the direction of travel. A wave can be polarized by using a polarizing filter.
Examples
Examples of waves include:
- Ocean surface waves, which are perturbations that propagate through water.
- Radio waves, microwaves, infrared rays, visible light, ultraviolet rays, x-rays, and gamma rays make up electromagnetic radiation. In this case, propagation is possible without a medium, through vacuum. These electromagnetic waves travel at 299,792,458 m/s in a vacuum.
- Sound — a mechanical wave that propagates through air, liquid or solids.
- waves of traffic (that is, propagation of different densities of motor vehicles, etc.) — these can be modelled as kinematic waves, as first presented by Sir M. J. Lighthill
- Seismic waves in earthquakes, of which there are three types, called S, P, and L.
- Gravitational waves, which are fluctuations in the curvature of spacetime predicted by general Relativity. These waves are nonlinear, and have yet to be observed empirically.
- Inertial waves, which occur in rotating fluids and are restored by the Coriolis effect.
Mathematical description
From a mathematical point of view, the most primitive (or fundamental) wave is harmonic (sinusoidal) wave which is described by the equation f(x,t) = Asin(ωt − kx)), where A is the amplitude of a wave - a measure of the maximum disturbance in the medium during one wave cycle (the maximum distance from the highest point of the crest to the equilibrium). In the illustration to the right, this is the maximum vertical distance between the baseline and the wave. The units of the amplitude depend on the type of wave — waves on a string have an amplitude expressed as a distance (meters), sound waves as pressure (pascals) and electromagnetic waves as the amplitude of the electric field (volts/meter). The amplitude may be constant (in which case the wave is a c.w. or continuous wave), or may vary with time and/or position. The form of the variation of amplitude is called the envelope of the wave.
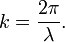
The wavelength (denoted as λ) is the distance between two sequential crests (or troughs). This generally has the unit of meters; it is also commonly measured in nanometers for the optical part of the electromagnetic spectrum.
A wavenumber k can be associated with the wavelength by the relation
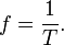
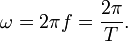
The period T is the time for one complete cycle for an oscillation of a wave. The frequency f (also frequently denoted as ν) is how many periods per unit time (for example one second) and is measured in hertz. These are related by:
In other words, the frequency and period of a wave are reciprocals of each other.
The angular frequency ω represents the frequency in terms of radians per second. It is related to the frequency by
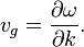
There are two velocities that are associated with waves. The first is the phase velocity, which gives the rate at which the wave propagates, is given by
The second is the group velocity, which gives the velocity at which variations in the shape of the wave's amplitude propagate through space. This is the rate at which information can be transmitted by the wave. It is given by
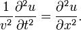
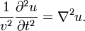
The wave equation
The wave equation is a differential equation that describes the evolution of a harmonic wave over time. The equation has slightly different forms depending on how the wave is transmitted, and the medium it is traveling through. Considering a one-dimensional wave that is travelling down a rope along the x-axis with velocity v and amplitude u (which generally depends on both x and t), the wave equation is
In three dimensions, this becomes
where
is the Laplacian.
The velocity v will depend on both the type of wave and the medium through which it is being transmitted.
A general solution for the wave equation in one dimension was given by d'Alembert. It is
This can be viewed as two pulses travelling down the rope in opposite directions; F in the +x direction, and G in the −x direction. If we substitute for x above, replacing it with directions x, y, z, we then can describe a wave propagating in three dimensions.
The Schrödinger equation describes the wave-like behaviour of particles in quantum mechanics. Solutions of this equation are wave functions which can be used to describe the probability density of a particle. Quantum mechanics also describes particle properties that other waves, such as light and sound, have on the atomic scale and below.
Traveling waves
Simple wave or traveling wave, also sometimes called progressive wave is a disturbance that varies both with time t and distance z in the following way:
where A(z,t) is the amplitude envelope of the wave, k is the wave number and φ is the phase. The phase velocity vp of this wave is given by
where λ is the wavelength of the wave.
Standing wave
A standing wave, also known as a stationary wave, is a wave that remains in a constant position. This phenomenon can occur because the medium is moving in the opposite direction to the wave, or it can arise in a stationary medium as a result of interference between two waves traveling in opposite directions.
The sum of two counter-propagating waves (of equal amplitude and frequency) creates a standing wave. Standing waves commonly arise when a boundary blocks further propagation of the wave, thus causing wave reflection, and therefore introducing a counter-propagating wave. For example when a violin string is displaced, longitudinal waves propagate out to where the string is held in place at the bridge and the " nut", where upon the waves are reflected back. At the bridge and "nut", the two opposed waves are in antiphase and cancel each other, producing a node. Halfway between two nodes there is an antinode, where the two counter-propagating waves enhance each other maximally. There is on average no net propagation of energy.
Also see: Acoustic resonance, Helmholtz resonator, and organ pipe
Propagation through strings
The speed of a wave traveling along a vibrating string (v) is directly proportional to the square root of the tension (T) over the linear density (μ):
Transmission medium
The medium that carries a wave is called a transmission medium. It can be classified into one or more of the following categories:
- A linear medium if the amplitudes of different waves at any particular point in the medium can be added.
- A bounded medium if it is finite in extent, otherwise an unbounded medium.
- A uniform medium if its physical properties are unchanged at different locations in space.
- An isotropic medium if its physical properties are the same in different directions.

















