Image:CuCl Kharasch reaction.gif
From Wikipedia, the free encyclopedia

No higher resolution available.
CuCl_Kharasch_reaction.gif (612 × 137 pixels, file size: 14 KB, MIME type: image/gif)
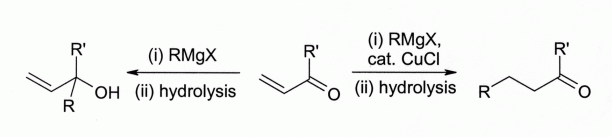
An example of a Kharasch reaction using CuCl. M. S. Kharasch, P. O. Tawney, Journal of the American Chemical Society, 63, 2308 (1941).
![]() |
This work has been (or is hereby) released into the public domain by the copyright holder. This applies worldwide. However, as a courtesy, a link back to Wikipedia ( http://www.wikipedia.org/) would be appreciated. In case this is not legally possible: |
File history
Click on a date/time to view the file as it appeared at that time.
| Date/Time | Dimensions | User | Comment | |
|---|---|---|---|---|
| current | 21:19, 27 January 2005 | 612×137 (14 KB) | Walkerma ( Talk | contribs) | (An example of a Kharasch reaction using CuCl) |
See the setup instructions for more information.
File links
The following file is a duplicate of this file:
The following pages on Schools Wikipedia link to this image (list may be incomplete):
Categories: Public domain images
