Magnet
2008/9 Schools Wikipedia Selection. Related subjects: Electricity and Electronics
A magnet is a material or object that produces a magnetic field. A low-tech means to detect a magnetic field is to scatter iron filings and observe their pattern, as in the accompanying figure. A "hard" or "permanent" magnet is one that stays magnetized, such as a magnet used to hold notes on a refrigerator door. Permanent magnets occur naturally in some rocks, particularly lodestone, but are now more commonly manufactured. A "soft" or "impermanent" magnet is one that loses its memory of previous magnetizations. "Soft" magnetic materials are often used in electromagnets to enhance (often hundreds or thousands of times) the magnetic field of a wire that carries an electric current and is wrapped around the magnet; the field of the "soft" magnet increases with the current.
Two measures of a material's magnetic properties are its magnetic moment and its magnetization. A material without a permanent magnetic moment can, in the presence of magnetic fields, be attracted ( paramagnetic), or repelled ( diamagnetic). Liquid oxygen is paramagnetic; graphite is diamagnetic. Paramagnets tend to intensify the magnetic field in their vicinity, whereas diamagnets tend to weaken it. "Soft" magnets, which are strongly attracted to magnetic fields, can be thought of as strongly paramagnetic; superconductors, which are strongly repelled by magnetic fields, can be thought of as strongly diamagnetic.
Background on the physics of magnetism and magnets
Magnetic field
The magnetic field (usually denoted B) is a vector field (that is, a vector at every point of space), with a direction and a magnitude that, in SI units is teslas. (B can also depend on time.) Its direction can be obtained from the orientation of a compass needle. Its magnitude (also called strength) is proportional to how strongly the compass needle gets oriented along that direction.
Magnetic moment
A magnet's magnetic moment (also called magnetic dipole moment, and usually denoted μ) is a vector that characterizes the magnet's overall magnetic properties. For a bar magnet, the direction of the magnetic moment points from the magnet's south pole to its north pole, and the magnitude relates to how strong and how far apart these poles are.
A magnet both produces its own magnetic field and it responds to magnetic fields. The strength of the magnetic field it produces is at any given point proportional to the magnitude of its magnetic moment. In addition, when the magnet is put into an "external" magnetic field produced by a different source, it is subject to a torque tending to orient the magnetic moment parallel to the field. The amount of this torque is proportional both to the magnetic moment and the "external" field. A magnet may also be subject to a force driving it in one direction or another, according to the positions and orientations of the magnet and source. If the field is uniform in space the magnet is subject to no net force, although it is subject to a torque.
A wire in the shape of a circle with area A and carrying current I is a magnet, with a magnetic moment of magnitude equal to IA.
Magnetization
The magnetization of an object is the local value of its magnetic moment per unit volume, usually denoted M, with units A/ m. It is a vector field, rather than just a vector (like the magnetic moment), because the different sections of a bar magnet generally are magnetized with different directions and strengths (for example, due to domains, see below). A good bar magnet may have a magnetic moment of magnitude 0.1 A·m² and a volume of 1 cm³, or 0.000001 m³, and therefore an average magnetization magnitude is 100,000 A/m. Iron can have a magnetization of around a million A/m.
Magnetic poles
Although for many purposes it is convenient to think of a magnet as having distinct north and south magnetic poles, the concept of poles should not be taken literally: it is merely a way of referring to the two different ends of a magnet. The magnet itself may be homogeneous; there are not distinct "north" or "south" particles on opposing sides, and no Magnetic monopole has yet been observed. If a bar magnet is broken in half, in an attempt to separate the north and south poles, the result will be two bar magnets, each of which has both a north and south pole.
The magnetic pole approach is used by most professional magneticians, from those who design magnetic memory to those who design large-scale magnets. If the magnetic pole distribution is known, then outside the magnet the pole model gives the magnetic field exactly. By simply supplementing the pole model field with a term proportional to the magnetization (see Units and Calculations, below) the magnetic field within the magnet is given exactly. This pole model is also called the "Gilbert Model" of a magnetic dipole.
Another model is the " Ampère Model", where all magnetization is due to the macroscopic effect of microscopic " bound currents", also called "Ampèrian currents". For a uniformly magnetized bar magnet in the shape of a cylinder, with poles uniformly distributed on its ends, the net effect of the microscopic bound currents is to make the magnet behave as if there is a macroscopic sheet of current flowing around the cylinder, with local flow direction normal to the cylinder axis. (Since scraping off the outer layer of a magnet will not destroy its magnetic properties, there are subtleties associated with this model as well as with the pole model. What happens is that you have only scraped off a relatively small number of atoms, whose bound currents do not contribute much to the net magnetic moment.) A right-hand rule due to Ampère tells us how the currents flow, for a given magnetic moment. Align the thumb of your right hand along the magnetic moment, and with that hand grasp the cylinder. Your fingers will then point along the direction of current flow. As noted above, the magnetic field given by the Amperian approach and the Gilbert approach are identical outside all magnets, and become identical within all magnets after the Gilbert "field" is supplemented. It is usually difficult to find the Amperian currents on the surface of a magnet, whereas it is often easier to find the effective poles for the same magnet. For one end (pole) of a permanent magnet outside a "soft" magnet, the pole picture of the "soft" magnet has it respond with an image pole of opposite sign to the applied pole; one also can find the Amperian currents on the surface of the "soft" magnet.
Pole naming conventions
The north pole of the magnet is the pole which (when the magnet is freely suspended) points towards the magnetic north pole (in northern Canada). Since opposite poles (north and south) attract whereas like poles (north and north, or south and south) repel, the Earth's present geographic north is thus actually its magnetic south. Confounding the situation further, the Earth's magnetic field occasionally reverses itself.
In order to avoid this confusion, the terms positive and negative poles are sometimes used instead of north and south, respectively.
As a practical matter, in order to tell which pole of a magnet is north and which is south, it is not necessary to use the earth's magnetic field at all. For example, one calibration method would be to compare it to an electromagnet, whose poles can be identified via the right-hand rule.
Descriptions of magnetic behaviors
There are many forms of magnetic behavior, and all materials exhibit at least one of them. Magnets vary both in the permanency of their magnetization, and in the strength and orientation of the magnetic field they create. This section describes, qualitatively, the primary types of magnetic behaviour that materials can show. The physics underlying each of these behaviors is described in the next section below, and can also be found in more detail in their respective articles.
- Most popularly found in paper clips, paramagnetism is exhibited in substances which do not produce fields by themselves, but which, when exposed to a magnetic field, reinforce that field by becoming magnetized themselves, and thus get attracted to that field. A good example for this behaviour can be found in a bucket of nails - if you pick up a single nail, you can expect that other nails will not follow. However, you can apply an intense magnetic field to the bucket, pick up one nail, and find that many will come with it.
- Unscientifically referred to as 'non-magnetic,' diamagnets actually do exhibit some magnetic behaviour - just to very small magnitudes. In fact, diamagnetic materials, when exposed to a magnetic field, will magnetize (slightly) in the opposite direction, getting (slightly) repelled from the applied field. Superconductors are strongly diamagnetic.
- Ferromagnetic and ferrimagnetic materials are the 'popular' perception of a magnet. These materials can retain their own magnetization; a common example is a traditional refrigerator magnet. (The difference between ferro- and ferrimagnetic materials is related to their microscopic structure, as explained below.)
Physics of magnetic behaviors
Overview
Magnetism, at its root, arises from two sources:
- Electric currents, or more generally moving electric charges, create magnetic fields (see Maxwell's Equations).
- Many particles have nonzero "intrinsic" (or " spin") magnetic moments. (Just as each particle, by its nature, has a certain mass and charge, each has a certain magnetic moment, possibly zero.)
In magnetic materials, the most important sources of magnetization are, more specifically, the electrons' orbital angular motion around the nucleus, and the electrons' intrinsic magnetic moment (see Electron magnetic dipole moment). The other potential sources of magnetism are much less important: For example, the nuclear magnetic moments of the nuclei in the material are typically thousands of times smaller than the electrons' magnetic moments, so they are negligible in the context of the magnetization of materials. (Nuclear magnetic moments are important in other contexts, particularly in Nuclear Magnetic Resonance (NMR) and Magnetic Resonance Imaging (MRI).)
Ordinarily, the countless electrons in a material are arranged such that their magnetic moments (both orbital and intrinsic) cancel out. This is due, to some extent, to electrons combining into pairs with opposite intrinsic magnetic moments (as a result of the Pauli exclusion principle; see Electron configuration), or combining into "filled subshells" with zero net orbital motion; in both cases, the electron arrangement is so as to exactly cancel the magnetic moments from each electron. Moreover, even when the electron configuration is such that there are unpaired electrons and/or non-filled subshells, it is often the case that the various electrons in the solid will contribute magnetic moments that point in different, random directions, so that the material will not be magnetic.
However, sometimes (either spontaneously, or due to an applied external magnetic field) each of the electron magnetic moments will be, on average, lined up. Then the material can produce a net total magnetic field, which can potentially be quite strong.
The magnetic behaviour of a material depends on its structure (particularly its electron configuration, for the reasons mentioned above), and also on the temperature (at high temperatures, random thermal motion makes it more difficult for the electrons to maintain alignment).
Physics of paramagnetism
In a paramagnet there are unpaired electrons, i.e. atomic or molecular orbitals with exactly one electron in them. While paired electrons are required by the Pauli exclusion principle to have their intrinsic ('spin') magnetic moments pointing in opposite directions (summing to zero), an unpaired electron is free to align its magnetic moment in any direction. When an external magnetic field is applied, these magnetic moments will tend to align themselves in the same direction as the applied field, thus reinforcing it.
Physics of diamagnetism
In a diamagnet, there are no unpaired electrons, so the intrinsic electron magnetic moments cannot produce any bulk effect. In these cases, the magnetization arises from the electrons' orbital motions, which can be understood classically as follows:
When a material is put in a magnetic field, the electrons circling the nucleus will experience, in addition to their Coulomb attraction to the nucleus, a Lorentz force from the magnetic field. Depending on which direction the electron is orbiting, this force may increase the centripetal force on the electrons, pulling them in towards the nucleus, or it may decrease the force, pulling them away from the nucleus. This effect systematically increases the orbital magnetic moments that were aligned opposite the field, and decreases the ones aligned parallel to the field (in accordance with Lenz's law). This results in a small bulk magnetic moment, with an opposite direction to the applied field.
Note that this description is meant only as a heuristic; a proper understanding requires a quantum-mechanical description.
Note that all materials, including paramagnets, undergo this orbital response. However, in a paramagnet, this response is overwhelmed by the much stronger opposing response described above (i.e., alignment of the electrons' intrinsic magnetic moments).
Physics of ferromagnetism
A ferromagnet, like a paramagnet, has unpaired electrons. However, in addition to the electrons' intrinsic magnetic moments wanting to be parallel to an applied field, there is also in these materials a tendency for these magnetic moments to want to be parallel to each other. Thus, even when the applied field is removed, the electrons in the material can keep each other continually pointed in the same direction.
Every ferromagnet has its own individual temperature, called the Curie temperature, or Curie point, above which it loses its ferromagnetic properties. This is because the thermal tendency to disorder overwhelms the energy-lowering due to ferromagnetic order.
Magnetic Domains
The magnetic moment of atoms in a ferromagnetic material cause them to behave something like tiny permanent magnets. They stick together and align themselves into small regions of more or less uniform alignment called magnetic domains or Weiss domains. Magnetic domains can be observed with Magnetic force microscope to reveal magnetic domain boundaries that resemble white lines in the sketch.There are many scientific experiments that can physically show magnetic fields.
When a domain contains too many molecules, it becomes unstable and divides into two domains aligned in opposite directions so that they stick together more stably as shown at the right.
When exposed to a magnetic field, the domain boundaries move so that the domains aligned with the magnetic field grow and dominate the structure as shown at the left. When the magnetizing field is removed, the domains may not return to a unmagnetized state. This results in the ferromagnetic material being magnetized, forming a permanent magnet.
When magnetized strongly enough that the prevailing domain overruns all others to result in only one single domain, the material is magnetically saturated. When a magnetized ferromagnetic material is heated to the Curie point temperature, the molecules are agitated to the point that the magnetic domains lose the organization and the magnetic properties they cause cease. When the material is cooled, this domain alignment structure spontaneously returns, in a manner roughly analogous to how a liquid can freeze into a crystalline solid.
Physics of antiferromagnetism
In an antiferromagnet, unlike a ferromagnet, there is a tendency for the intrinsic magnetic moments of neighboring valence electrons to point in opposite directions. When all atoms are arranged in a substance so that each neighbour is 'anti-aligned', the substance is antiferromagnetic. Antiferromagnets have a zero net magnetic moment, meaning no field is produced by them. Antiferromagnets are less common compared to the other types of behaviors, and are mostly observed at low temperatures. In varying temperatures, antiferromagnets can be seen to exhibit diamagnetic and ferrimagnetic properties.
In some materials, neighboring electrons want to point in opposite directions, but there is no geometrical arrangement in which each pair of neighbors is anti-aligned. This is called a spin glass, and is an example of geometrical frustration.
Physics of ferrimagnetism
Like ferromagnetism, ferrimagnets retain their magnetization in the absence of a field. However, like antiferromagnets, neighboring pairs of electron spins like to point in opposite directions. These two properties are not contradictory, due to the fact that in the optimal geometrical arrangement, there is more magnetic moment from the sublattice of electrons which point in one direction, than from the sublattice which points in the opposite direction.
The first discovered magnetic substance, magnetite, was originally believed to be a ferromagnet; Louis Néel disproved this, however, with the discovery of ferrimagnetism.
Other types of magnetism
There are various other types of magnetism, such as and spin glass (mentioned above), superparamagnetism, superdiamagnetism, and metamagnetism.
Common uses of magnets
- Magnetic recording media: Common VHS tapes contain a reel of magnetic tape. The information that makes up the video and sound is encoded on the magnetic coating on the tape. Common audio cassettes also rely on magnetic tape. Similarly, in computers, floppy disks and hard disks record data on a thin magnetic coating.
- Credit, debit, and ATM cards: All of these cards have a magnetic strip on one of their sides. This strip contains the necessary information to contact an individual's financial institution and connect with their account(s).
- Common televisions and computer monitors: TV and computer screens using vacuum tube technology employ an electromagnet to guide electrons to the screen, in order to produce an image -- see the article on cathode ray tubes. Plasma screens and LCDs use different technologies.
- Speakers and Microphones: Most speakers employ a permanent magnet and a current-carrying coil to convert electric energy (the signal) into mechanical energy (movement which creates the sound). The coil is wrapped around a bobbin attached to the speaker cone, and carries the signal as changing current which interacts with the field of the permanent magnet. The voice coil feels a magnetic force and in response moves the cone and pressurizes the neighboring air, thus generating sound. Dynamic microphones employ the same concept, but in reverse. A microphone has a diaphragm or membrane attached to a coil of wire. The coil rests inside a specially shaped magnet. When sound vibrates the membrane, the coil is vibrated as well. As the coil moves through the magnetic field, a voltage is generated across the coil (see Lenz's Law). This voltage drives current in the wire that is characteristic of the original sound.
- Electric motors and generators: Some electric motors (much like loudspeakers) rely upon a combination of an electromagnet and a permanent magnet, and much like loudspeakers, they convert electric energy into mechanical energy. A generator is the reverse: it converts mechanical energy into electric energy.
- Transformers: Transformers are devices that transfer electric energy between two windings that are electrically isolated but are linked magnetically.
- Chucks: Chucks are used in the metalworking field to hold objects. If these objects can be held securely with a magnet then a permanent or electromagnetic chuck may be used. Magnets are also used in other types of fastening devices, such as the magnetic base, the magnetic clamp and the refrigerator magnet.
- A compass (or mariner's compass) is a navigational instrument for finding directions on the Earth. It consists of a magnetized pointer free to align itself accurately with Earth's magnetic field, which is of great assistance in navigation. The cardinal points are north, south, east and west. A compass can be used in conjunction with a marine chronometer and a sextant to provide a very accurate navigation capability. This device greatly improved maritime trade by making travel safer and more efficient. An early form of the compass was invented in China in the 11th century. The familiar mariner's compass was invented in Europe around 1300, as was later the liquid compass and the gyrocompass which does not work with a magnetic field.
- Magic: Naturally magnetic Lodestones as well as iron magnets are used in conjunction with fine iron grains (called "magnetic sand") in the practice of the African-American folk magic known as hoodoo. The stones are symbolically linked to people's names and ritually sprinkled with magnetic sand to reveal the magnetic field. One stone may be utilized to bring desired things to a person; a pair of stones may be manipulated to bring two people closer together in love.
- Art: 1 mm or thicker vinyl magnet sheets may be attached to paintings, photographs, and other ornamental articles, allowing them to be stuck to refrigerators and other metal surfaces.
- Science Projects: Many topic questions are often based on magnets. For example; how is the strength of a magnet affected by glass, plastic, and cardboard?
- Toys: Due to their ability to counteract the force of gravity at very close range, magnets are often employed in children's toys such as the Magnet Space Wheel to amusing effect.
- Magnets can be used to make jewelry. Necklaces and bracelets can have a magnetic clasp. Necklaces and bracelets can be made from small but strong, cylindrical magnets and slightly larger iron or steel balls connected in a pattern that is repeated until it is long enough to fit on the wrist or neck. These accessories may be fragile enough to accidentally come apart, but they also can be disassembled and reassembled with a different design. When connected as a necklace or a bracelet, magnets lose their attraction to other pieces of iron steel because they are already attached to their own iron and steel balls.
- Magnets can pick up magnetic items (iron nails, staples, tacks, paper clips) that are either too small, too hard to reach, or too thin for fingers to hold.
- Magnetic levitation transport, or maglev, is a form of transportation that suspends, guides and propels vehicles (especially trains) via electromagnetic force. This method can be faster than wheeled mass transit systems, potentially reaching velocities comparable to turboprop and jet aircraft (900 km/h, 559 mph). The maximum recorded speed of a maglev train is 581 km/h (361 mph), achieved in Japan in 2003.
- A recently developed use of magnetism is to connect portable computer power cables. Such a connection will occasionally break by accidentally pushing against the cable, but the computer battery prevents interruption of service, and the easy disconnection protects the cable from serious jerks or from being stepped on.
Magnetization and demagnetization
Ferromagnetic materials can be magnetized in the following ways:
- Placing the item in an external magnetic field will result in the item retaining some of the magnetism on removal. Vibration has been shown to increase the effect. Ferrous materials aligned with the earth's magnetic field and which are subject to vibration (e.g. frame of a conveyor) have been shown to acquire significant residual magnetism. A magnetic field much stronger than the earth's can be generated inside a solenoid by passing direct current through it.
- Stroking - An existing magnet is moved from one end of the item to the other repeatedly in the same direction.
- Placing a steel bar in a magnetic field, then heating it to a high temperature and then finally hammering it as it cools. This can be done by laying the magnet in a North-South direction in the Earth's magnetic field. In this case, the magnet is not very strong but the effect is permanent.
Permanent magnets can be demagnetized in the following ways:
- Heating a magnet past its Curie point will destroy the long range ordering.
- Contact through stroking one magnet with another in random fashion will demagnetize the magnet being stroked, in some cases; some materials have a very high coercive field and cannot be demagnetized with other permanent magnets.
- Hammering or jarring will destroy the long range ordering within the magnet.
- A magnet being placed in a solenoid which has an alternating current being passed through it will have its long range ordering disrupted, in much the same way that direct current can cause ordering.
In an electromagnet which uses a soft iron core, ceasing the flow of current will eliminate the magnetic field. However, a slight field may remain in the core material as a result of hysteresis.
Types of permanent magnets
Magnetic metallic elements
Many materials have unpaired electron spins, and the majority of these materials are paramagnetic. When the spins interact with each other in such a way that the spins align spontaneously, the materials are called ferromagnetic (what is often loosely termed as "magnetic"). Due to the way their regular crystalline atomic structure causes their spins to interact, some metals are (ferro)magnetic when found in their natural states, as ores. These include iron ore ( magnetite or lodestone), cobalt and nickel, as well the rare earth metals gadolinium and dysprosium (when at a very low temperature). Such naturally occurring (ferro)magnets were used in the first experiments with magnetism. Technology has since expanded the availability of magnetic materials to include various manmade products, all based, however, on naturally magnetic elements.
Composites
Ceramic or ferrite
Ceramic, or ferrite, magnets are made of a sintered composite of powdered iron oxide and barium/strontium carbonate ceramic. Due to the low cost of the materials and manufacturing methods, inexpensive magnets (or nonmagnetized ferromagnetic cores, for use in electronic component such as radio antennas, for example) of various shapes can be easily mass produced. The resulting magnets are noncorroding, but brittle and must be treated like other ceramics.
Alnico
Alnico magnets are made by casting or sintering a combination of aluminium, nickel and cobalt with iron and small amounts of other elements added to enhance the properties of the magnet. Sintering offers superior mechanical characteristics, whereas casting delivers higher magnetic fields and allows for the design of intricate shapes. Alnico magnets resist corrosion and have physical properties more forgiving than ferrite, but not quite as desirable as a metal.
Ticonal
Ticonal magnets are an alloy of titanium, cobalt, nickel, and aluminium, with iron and small amounts of other elements. It was developed by Philips for loudspeakers.
Injection molded
Injection molded magnets are a composite of various types of resin and magnetic powders, allowing parts of complex shapes to be manufactured by injection molding. The physical and magnetic properties of the product depend on the raw materials, but are generally lower in magnetic strength and resemble plastics in their physical properties.
Flexible
Flexible magnets are similar to injection molded magnets, using a flexible resin or binder such as vinyl, and produced in flat strips or sheets. These magnets are lower in magnetic strength but can be very flexible, depending on the binder used.
Rare earth magnets
'Rare earth' (lanthanoid) elements have a partially occupied f electron shell (which can accommodate up to 14 electrons.) The spin of these electrons can be aligned, resulting in very strong magnetic fields, and therefore these elements are used in compact high-strength magnets where their higher price is not a concern. The most common types of rare earth magnets are samarium-cobalt and neodymium-iron-boron (NIB) magnets.
Single-molecule magnets (SMMs) and single-chain magnets (SCMs)
In the 1990s it was discovered that certain molecules containing paramagnetic metal ions are capable of storing a magnetic moment at very low temperatures. These are very different from conventional magnets that store information at a "domain" level and theoretically could provide a far denser storage medium than conventional magnets. In this direction research on monolayers of SMMs is currently under way. Very briefly, the two main attributes of an SMM are:
- a large ground state spin value (S), which is provided by ferromagnetic or ferrimagnetic coupling between the paramagnetic metal centres.
- a negative value of the anisotropy of the zero field splitting (D)
Most SMM's contain manganese, but can also be found with vanadium, iron, nickel and cobalt clusters. More recently it has been found that some chain systems can also display a magnetization which persists for long times at relatively higher temperatures. These systems have been called single-chain magnets.
Nano-structured magnets
Some nano-structured materials exhibit energy waves called magnons that coalesce into a common ground state in the manner of a Bose-Einstein condensate.
Costs
The current cheapest permanent magnets, allowing for field strengths, are flexible and ceramic magnets, however these are also among the weakest types. Of the strong magnets neodymium-iron-boron (NIB) magnets. These magnets are more expensive than most other magnetic materials per kg, but due to their intense field are smaller and cheaper in many applications.
Temperature
Temperature sensitivity varies, but when a magnet is heated to a temperature known as the Curie point, it looses all of its magnetism, even after cooling below that temperature. The magnets can often be remagnetised however. Additionally some magnets are brittle and can fracture at high temperatures.
Electromagnets
An electromagnet in its simplest form, is a wire that has been coiled into one or more loops, known as a solenoid. When electric current flows through the wire, a magnetic field is generated. It is concentrated near (and especially inside) the coil, and its field lines are very similar to those for a magnet. The orientation of this effective magnet is determined via the right hand rule. The magnetic moment and the magnetic field of the electromagnet are proportional to the number of loops of wire, to the cross-section of each loop, and to the current passing through the wire.
If the coil of wire is wrapped around a material with no special magnetic properties (e.g., cardboard), it will tend to generate a very weak field. However, if it is wrapped around a "soft" ferromagnetic material, such as an iron nail, then the net field produced can result in a several hundred- to thousandfold increase of field strength.
Uses for electromagnets include particle accelerators, electric motors, junkyard cranes, and magnetic resonance imaging machines. Some applications involve configurations more than a simple magnetic dipole; for example, quadrupole magnets are used to focus particle beams.
Units and calculations in magnetism
How we write the laws of magnetism depends on which set of units we employ. For most engineering applications, MKS or SI (Système International) is common. Two other sets, Gaussian and CGS-emu, are the same for magnetic properties, and are commonly used in physics.
In all units it is convenient to employ two types of magnetic field, B and H, as well as the magnetization M, defined as the magnetic moment per unit volume.
- The magnetic induction field B is given in SI units of teslas (T). B is the true magnetic field, whose time-variation produces, by Faraday's Law, circulating electric fields (which the power companies sell). B also produces a deflection force on moving charged particles (as in TV tubes). The tesla is equivalent to the magnetic flux (in webers) per unit area (in meters squared), thus giving B the unit of a flux density. In CGS the unit of B is the gauss (G). One tesla equals 104 G.
- The magnetic field H is given in SI units of ampere-turns per meter (A-turn/m). The "turns" appears because when H is produced by a current-carrying wire, its value is proportional to the number of turns of that wire. In CGS the unit of H is the oersted (Oe). One A-turn/m equals 4π x 10-3 Oe.
- The magnetization M is given in SI units of amperes per meter (A/m). In CGS the unit of M is the emu, or electromagnetic unit. One A/m equals 10-3 emu. A good permanent magnet can have a magnetization as large as a million amperes per meter. Magnetic fields produced by current-carrying wires would require comparably huge currents per unit length, one reason we employ permanent magnets and electromagnets.
- In SI units, the relation B = μ0(H + M) holds, where μ0 is the permeability of space, which equals 4π x 10-7 tesla meters per ampere. In CGS it is written as B = H + 4πM. [The pole approach gives μ0H in SI units. A μ0M term in SI must then supplement this μ0H to give the correct field within B the magnet. It will agree with the field B calculated using Amperian currents.]
Materials that are not permanent magnets usually satisfy the relation M = χH in SI, where χ is the (dimensionless) magnetic susceptibility. Most non-magnetic materials have a relatively small χ (on the order of a millionth), but soft magnets can have χ on the order of hundreds or thousands. For materials satisfying M = χH, we can also write B = μ0(1 + χ)H = μ0μrH = μH, where μr = 1 + χ is the (dimensionless) relative permeability and μ = μ0μr is the magnetic permeability. Both hard and soft magnets have a more complex, history-dependent, behaviour described by what are called hysteresis loops, which give either B vs H or M vs H. In CGS M = χH, but χSI = 4πχCGS, and μ = μr.
Caution: In part because there are not enough Roman and Greek symbols, there is no commonly agreed upon symbol for magnetic pole strength and magnetic moment. The symbol m has been used for both pole strength (unit = A·m, where here the upright m is for meter) and for magnetic moment (unit = A·m²). The symbol μ has been used in some texts for magnetic permeability and in other texts for magnetic moment. We will use μ for magnetic permeability and m for magnetic moment. For pole strength we will employ qm. For a bar magnet of cross-section A with uniform magnetization M along its axis, the pole strength is given by qm = 'MA, so that M can be thought of as a pole strength per unit area.
Fields of a magnet
Far away from a magnet, the magnetic field created by that magnet is almost always described (to a good approximation) by a dipole field characterized by its total magnetic moment. This is true regardless of the shape of the magnet, so long as the magnetic moment is nonzero. One characteristic of a dipole field is that the strength of the field falls off inversely with the cube of the distance from the magnet's centre.
Closer to the magnet, the magnetic field becomes more complicated, and more dependent on the detailed shape and magnetization of the magnet. Formally, the field can be expressed as a multipole expansion: A dipole field, plus a quadrupole field, plus an octupole field, etc.
At close range, many different fields are possible. For example, for a long, skinny bar magnet with its north pole at one end and south pole at the other, the magnetic field near either end falls off inversely with the square of the distance from that pole.
Calculating the magnetic force
Calculating the attractive or repulsive force between two magnets is, in the general case, an extremely complex operation, as it depends on the shape, magnetization, orientation and separation of the magnets.
Force between two magnetic poles
The force between two magnetic poles is given by:
where
- F is force (SI unit: newton)
- qm1 and qm2 are the pole strengths (SI unit: ampere-meter)
- μ is the permeability of the intervening medium (SI unit: tesla meter per ampere, henry per meter or newton per ampere squared)
- r is the separation (SI unit: meter).
- qm1 and qm2 are the pole strengths (SI unit: ampere-meter)
The pole description is useful to practicing magneticians who design real-world magnets, but real magnets have a pole distribution more complex than a single north and south. Therefore, implementation of the pole idea is not simple. In some cases, one of the more complex formulae given below will be more useful.
Force between two nearby attracting surfaces of area A and equal but opposite magnetizations M
where
- A is the area of each surface, in m²
- M is their magnetization, in A/m.
- μ0 is the permeability of space, which equals 4π x 10-7 tesla-meters per ampere
- M is their magnetization, in A/m.
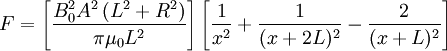
Force between two bar magnets
The force between two identical cylindrical bar magnets placed end-to-end is given by:
where
- B0 is the magnetic flux density very close to each pole, in T,
- A is the area of each pole, in m2,
- L is the length of each magnet, in m,
- R is the radius of each magnet, in m, and
- x is the separation between the two magnets, in m
- A is the area of each pole, in m2,
'B0 =
M relates the flux density at the pole to the magnetization of the magnet.










