Redshift
2008/9 Schools Wikipedia Selection. Related subjects: Physics; Space (Astronomy)
In physics and astronomy, redshift occurs when the electromagnetic radiation, usually visible light, that is emitted from or reflected off an object is shifted towards the (less energetic) red end of the electromagnetic spectrum. More generally, redshift is defined as an increase in the wavelength of electromagnetic radiation received by a detector compared with the wavelength emitted by the source. This increase in wavelength corresponds to a decrease in the frequency of the electromagnetic radiation. Conversely, a decrease in wavelength is called blue shift.
Any increase in wavelength is called "redshift", even if it occurs in electromagnetic radiation of non-optical wavelengths, such as gamma rays, x-rays and ultraviolet. This nomenclature might be confusing since, at wavelengths longer than red (e.g., infrared, microwaves, and radio waves), redshifts shift the radiation away from the red wavelengths.
An observed redshift due to the Doppler effect occurs whenever a light source moves away from the observer, corresponding to the Doppler shift that changes the perceived frequency of sound waves. Although observing such redshifts, or complementary blue shifts, has several terrestrial applications (e.g., Doppler radar and radar guns), spectroscopic astrophysics uses Doppler redshifts to determine the movement of distant astronomical objects. This phenomenon was first predicted and observed in the 19th century as scientists began to consider the dynamical implications of the wave-nature of light.
Another cause of redshift is the expansion of the universe, which explains the observation that the redshifts of distant galaxies, quasars, and intergalactic gas clouds increase in proportion to their distance from the earth. This mechanism is a key feature of the Big Bang model of physical cosmology.
Gravitational redshift is observed if the receiver is located at higher gravitational potential than the source. The cause of gravitational redshift is the time dilation that occurs near massive objects, according to general relativity
All three of these phenomena, whose wide range of instantiations are the focus of this article, can be understood under the umbrella of frame transformation laws, as described below. There exist numerous other mechanisms with different physical and mathematical descriptions that can lead to a shift in the frequency of electromagnetic radiation and whose action is generally not referred to as a "redshift", including scattering and optical effects (for more see section on physical optics and radiative transfer).
History
The history of the subject began with the development in the 19th century of wave mechanics and the exploration of phenomena associated with the Doppler effect. The effect is named after Christian Andreas Doppler, who offered the first known physical explanation for the phenomenon in 1842. The hypothesis was tested and confirmed for sound waves by the Dutch scientist Christoph Hendrik Diederik Buys Ballot in 1845. Doppler correctly predicted that the phenomenon should apply to all waves, and in particular suggested that the varying colors of stars could be attributed to their motion with respect to the Earth. While this attribution turned out to be incorrect (stellar colors are indicators of a star's temperature, not motion), Doppler would later be vindicated by verified redshift observations.
The first Doppler redshift was described in 1848 by French physicist Armand-Hippolyte-Louis Fizeau, who pointed to the shift in spectral lines seen in stars as being due to the Doppler effect. The effect is sometimes called the "Doppler-Fizeau effect". In 1868, British astronomer William Huggins was the first to determine the velocity of a star moving away from the Earth by this method.
In 1871, optical redshift was confirmed when the phenomenon was observed in Fraunhofer lines using solar rotation, about 0.1 Å in the red. In 1901 Aristarkh Belopolsky verified optical redshift in the laboratory using a system of rotating mirrors.
The earliest occurrence of the term "red-shift" in print (in this hyphenated form), appears to be by American astronomer Walter S. Adams in 1908, where he mentions "Two methods of investigating that nature of the nebular red-shift". The word doesn't appear unhyphenated, perhaps indicating a more common usage of its German equivalent, Rotverschiebung, until about 1934 by Willem de Sitter.
Beginning with observations in 1912, Vesto Slipher discovered that most spiral nebulae had considerable redshifts. Subsequently, Edwin Hubble discovered an approximate relationship between the redshift of such "nebulae" (now known to be galaxies in their own right) and the distance to them with the formulation of his eponymous Hubble's law. These observations corroborated Alexander Friedman's 1922 work, in which he derived the famous Friedmann equations. They are today considered strong evidence for an expanding universe and the Big Bang theory.
Measurement, characterization, and interpretation
The spectrum of light that comes from a single source (see idealized spectrum illustration top-right) can be measured. To determine the redshift, features in the spectrum such as absorption lines, emission lines, or other variations in light intensity, are searched for. If found, these features can be compared with known features in the spectrum of various chemical compounds found in experiments where that compound is located on earth. A very common atomic element in space is hydrogen. The spectrum of originally featureless light shined through hydrogen will show a signature spectrum specific to hydrogen that has features at regular intervals. If restricted to absorption lines it would look similar to the illustration (top right). If the same pattern of intervals is seen in an observed spectrum from a distant source but occurring at shifted wavelengths, it can be identified as hydrogen too. If the same spectral line is identified in both spectra but at different wavelengths then the redshift can be calculated using the table below. Determining the redshift of an object in this way requires a frequency- or wavelength-range. In order to calculate the redshift one has to know the wavelength of the emitted light in the rest frame of the source, in other words, the wavelength that would be measured by an observer located adjacent to and comoving with the source. Since in astronomical applications this measurement cannot be done directly, because that would require travelling to the distant star of interest, the method using spectral lines described here is used instead. Redshifts cannot be calculated by looking at unidentified features whose rest-frame frequency is unknown, or with a spectrum that is featureless or white noise (random fluctuations in a spectrum).
Redshift (and blue shift) may be characterized by the relative difference between the observed and emitted wavelengths (or frequency) of an object. In astronomy, it is customary to refer to this change using a dimensionless quantity called z. If λ represents wavelength and f represents frequency (note, λf = c where c is the speed of light), then z is defined by the equations:
| Based on wavelength | Based on frequency |
|---|---|
![]() |
![]() |
![]() |
![]() |
After z is measured, the distinction between redshift and blue shift is simply a matter of whether z is positive or negative. See the mechanisms section below for some basic interpretations that follow when either a redshift or blue shift is observed. For example, Doppler effect blue shifts (z < 0) are associated with objects approaching (moving closer to) the observer with the light shifting to greater energies. Conversely, Doppler effect redshifts (z > 0) are associated with objects receding (moving away) from the observer with the light shifting to lower energies. Likewise, gravitational blue shifts are associated with light emitted from a source residing within a weaker gravitational field observed within a stronger gravitational field, while gravitational redshifting implies the opposite conditions.
Mechanisms
A single photon propagated through a vacuum can redshift in several distinct ways. Each of these mechanisms produces a Doppler-like redshift, meaning that z is independent of wavelength. These mechanisms are described with Galilean, Lorentz, or general relativistic transformations between one frame of reference and another.
| Redshift type | Frame transformation law | Example of a metric | Definition |
|---|---|---|---|
| Doppler redshift | Galilean transformation | Euclidean metric | ![]() |
| Relativistic Doppler | Lorentz transformation | Minkowski metric | ![]() |
| Cosmological redshift | General relativistic tr. | FRW metric | ![]() |
| Gravitational redshift | General relativistic tr. | Schwarzschild metric | ![]() |
Doppler effect
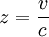
If a source of the light is moving away from an observer, then redshift (z > 0) occurs; if the source moves towards the observer, then blue shift (z < 0) occurs. This is true for all electromagnetic waves and is explained by the Doppler effect. Consequently, this type of redshift is called the Doppler redshift. If the source moves away from the observer with velocity v, then, ignoring relativistic effects, the redshift is given by
(Since
, see below)
where c is the speed of light. In the classical Doppler effect, the frequency of the source is not modified, but the recessional motion causes the illusion of a lower frequency.
Relativistic Doppler effect
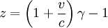
A more complete treatment of the Doppler redshift requires considering relativistic effects associated with motion of sources close to the speed of light. A complete derivation of the effect can be found in the article on the relativistic Doppler effect. In brief, objects moving close to the speed of light will experience deviations from the above formula due to the time dilation of special relativity which can be corrected for by introducing the Lorentz factor γ into the classical Doppler formula as follows:
This phenomenon was first observed in a 1938 experiment performed by Herbert E. Ives and G.R. Stilwell, called the Ives-Stilwell experiment.
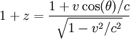
Since the Lorentz factor is dependent only on the magnitude of the velocity, this causes the redshift associated with the relativistic correction to be independent of the orientation of the source movement. In contrast, the classical part of the formula is dependent on the projection of the movement of the source into the line of sight which yields different results for different orientations. Consequently, for an object moving at an angle θ to the observer (zero angle is directly away from the observer), the full form for the relativistic Doppler effect becomes:
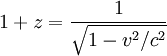
and for motion solely in the line of sight (θ = 0°), this equation reduces to:
For the special case that the source is moving at right angles (θ = 90°) to the detector, the relativistic redshift is known as the transverse redshift, and a redshift:
is measured, even though the object is not moving away from the observer. Even if the source is moving towards the observer, if there is a transverse component to the motion then there is some speed at which the dilation just cancels the expected blue shift and at higher speed the approaching source will be redshifted.
Expansion of space
In the early part of the twentieth century, Slipher, Hubble and others made the first measurements of the redshifts and blue shifts of galaxies beyond the Milky Way. They initially interpreted these redshifts and blue shifts as due solely to the Doppler effect, but later Hubble discovered a rough correlation between the increasing redshifts and the increasing distance of galaxies. Theorists almost immediately realized that these observations could be explained by a different mechanism for producing redshifts. Hubble's law of the correlation between redshifts and distances is required by models of cosmology derived from general relativity that have a metric expansion of space. As a result, photons propagating through the expanding space are stretched, creating the cosmological redshift. This differs from the Doppler effect redshifts described above because the velocity boost (i.e. the Lorentz transformation) between the source and observer is not due to classical momentum and energy transfer, but instead the photons increase in wavelength and redshift as the space through which they are traveling expands. This effect is prescribed by the current cosmological model as an observable manifestation of the time-dependent cosmic scale factor (a) in the following way:
This type of redshift is called the cosmological redshift or Hubble redshift. If the universe were contracting instead of expanding, we would see distant galaxies blue shifted by an amount proportional to their distance instead of redshifted.
These galaxies are not receding simply by means of a physical velocity in the direction away from the observer; instead, the intervening space is stretching, which accounts for the large-scale isotropy of the effect demanded by the cosmological principle. For cosmological redshifts of z < 0.1 the effects of spacetime expansion are minimal and observed redshifts dominated by the peculiar motions of the galaxies relative to one another that cause additional Doppler redshifts and blue shifts. The difference between physical velocity and space expansion can be illustrated by the Expanding Rubber Sheet Universe, a common cosmological analogy used to describe the expansion of space. If two objects are represented by ball bearings and spacetime by a stretching rubber sheet, the Doppler effect is caused by rolling the balls across the sheet to create peculiar motion. The cosmological redshift occurs when the ball bearings are stuck to the sheet and the sheet is stretched. (Obviously, there are dimensional problems with the model, as the ball bearings should be in the sheet, and cosmological redshift produces higher velocities than Doppler does if the distance between two objects is large enough.)
In spite of the distinction between redshifts caused by the velocity of objects and the redshifts associated with the expanding universe, astronomers sometimes refer to "recession velocity" in the context of the redshifting of distant galaxies from the expansion of the Universe, even though it is only an apparent recession. As a consequence, popular literature often uses the expression "Doppler redshift" instead of "cosmological redshift" to describe the motion of galaxies dominated by the expansion of spacetime, despite the fact that a "cosmological recessional speed" when calculated will not equal the velocity in the relativistic Doppler equation. In particular, Doppler redshift is bound by special relativity; thus v > c is impossible while, in contrast, v > c is possible for cosmological redshift because the space which separates the objects (e.g., a quasar from the Earth) can expand faster than the speed of light. More mathematically, the viewpoint that "distant galaxies are receding" and the viewpoint that "the space between galaxies is expanding" are related by changing coordinate systems. Expressing this precisely requires working with the mathematics of the Friedmann-Robertson-Walker metric.
Gravitational redshift
In the theory of general relativity, there is time dilation within a gravitational well. This is known as the gravitational redshift or Einstein Shift. The theoretical derivation of this effect follows from the Schwarzschild solution of the Einstein equations which yields the following formula for redshift associated with a photon traveling in the gravitational field of an uncharged, nonrotating, spherically symmetric mass:
,
where
is the gravitational constant,
is the mass of the object creating the gravitational field,
is the radial coordinate of the observer (which is analogous to the classical distance from the centre of the object, but is actually a Schwarzschild coordinate), and
is the speed of light.
This gravitational redshift result can be derived from the assumptions of special relativity and the equivalence principle; the full theory of general relativity is not required.
The effect is very small but measurable on Earth using the Mossbauer effect and was first observed in the Pound-Rebka experiment. However, it is significant near a black hole, and as an object approaches the event horizon the red shift becomes infinite. It is also the dominant cause of large angular-scale temperature fluctuations in the cosmic microwave background radiation (see Sachs-Wolfe effect).
Observations in astronomy
The redshift observed in astronomy can be measured because the emission and absorption spectra for atoms are distinctive and well known, calibrated from spectroscopic experiments in laboratories on Earth. When the redshift of various absorption and emission lines from a single astronomical object is measured, z is found to be remarkably constant. Although distant objects may be slightly blurred and lines broadened, it is by no more than can be explained by thermal or mechanical motion of the source. For these reasons and others, the consensus among astronomers is that the redshifts they observe are due to some combination of the three established forms of Doppler-like redshifts. Alternative hypotheses are not generally considered plausible.
Spectroscopy, as a measurement, is considerably more difficult than simple photometry, which measures the brightness of astronomical objects through certain filters. When photometric data is all that is available (for example, the Hubble Deep Field and the Hubble Ultra Deep Field), astronomers rely on a technique for measuring photometric redshifts. Due to the filter being sensitive to a range of wavelengths and the technique relying on making many assumptions about the nature of the spectrum at the light-source, errors for these sorts of measurements can range up to δz = 0.5, and are much less reliable than spectroscopic determinations. However, photometry does allow at least for a qualitative characterization of a redshift. For example, if a sun-like spectrum had a redshift of z = 1, it would be brightest in the infrared rather than at the yellow-green colour associated with the peak of its blackbody spectrum, and the light intensity will be reduced in the filter by a factor of two (1+z) (see K correction for more details on the photometric consequences of redshift).
Local observations
In nearby objects (within our Milky Way galaxy) observed redshifts are almost always related to the line of sight velocities associated with the objects being observed. Observations of such redshifts and blue shifts have enabled astronomers to measure velocities and parametrize the masses of the orbiting stars in spectroscopic binaries, a method first employed in 1868 by British astronomer William Huggins. Similarly, small redshifts and blue shifts detected in the spectroscopic measurements of individual stars are one way astronomers have been able to diagnose and measure the presence and characteristics of planetary systems around other stars. Measurements of redshifts to fine detail are used in helioseismology to determine the precise movements of the photosphere of the Sun. Redshifts have also been used to make the first measurements of the rotation rates of planets, velocities of interstellar clouds, the rotation of galaxies, and the dynamics of accretion onto neutron stars and black holes which exhibit both Doppler and gravitational redshifts. Additionally, the temperatures of various emitting and absorbing objects can be obtained by measuring Doppler broadening — effectively redshifts and blue shifts over a single emission or absorption line. By measuring the broadening and shifts of the 21-centimeter hydrogen line in different directions, astronomers have been able to measure the recessional velocities of interstellar gas, which in turn reveals the rotation curve of our Milky Way. Similar measurements have been performed on other galaxies, such as Andromeda. As a diagnostic tool, redshift measurements are one of the most important spectroscopic measurements made in astronomy.
Extragalactic observations
| Physical cosmology | ||||||||||||||
![]() |
||||||||||||||
| Universe · Big Bang Age of the universe Timeline of the Big Bang Ultimate fate of the universe
|
||||||||||||||
The most distant objects exhibit larger redshifts corresponding to the Hubble flow of the universe. The largest observed redshift, corresponding to the greatest distance and furthest back in time, is that of the cosmic microwave background radiation; the numerical value of its redshift is about z = 1089 (z = 0 corresponds to present time), and it shows the state of the Universe about 13.7 billion years ago, and 379,000 years after the initial moments of the Big Bang.
The luminous point-like cores of quasars were the first "high-redshift" (z > 0.1) objects discovered before the improvement of telescopes allowed for the discovery of other high-redshift galaxies.
For galaxies more distant than the Local Group and the nearby Virgo Cluster, but within a thousand megaparsecs or so, the redshift is approximately proportional to the galaxy's distance. This correlation was first observed by Edwin Hubble and has come to be known as Hubble's law. Vesto Slipher was the first to discover galactic redshifts, in about the year 1912, while Hubble correlated Slipher's measurements with distances he measured by other means to formulate his Law. In the widely accepted cosmological model based on general relativity, redshift is mainly a result of the expansion of space: this means that the farther away a galaxy is from us, the more the space has expanded in the time since the light left that galaxy, so the more the light has been stretched, the more redshifted the light is, and so the faster it appears to be moving away from us. Hubble's law follows in part from the Copernican principle. Because it is usually not known how luminous objects are, measuring the redshift is easier than more direct distance measurements, so redshift is sometimes in practice converted to a crude distance measurement using Hubble's law.
Gravitational interactions of galaxies with each other and clusters cause a significant scatter in the normal plot of the Hubble diagram. The peculiar velocities associated with galaxies superimpose a rough trace of the mass of virialized objects in the universe. This effect leads to such phenomena as nearby galaxies (such as the Andromeda Galaxy) exhibiting blue shifts as we fall towards a common barycenter, and redshift maps of clusters showing a Finger of God effect due to the scatter of peculiar velocities in a roughly spherical distribution. This added component gives cosmologists a chance to measure the masses of objects independent of the mass to light ratio (the ratio of a galaxy's mass in solar masses to its brightness in solar luminosities), an important tool for measuring dark matter.
The Hubble law's linear relationship between distance and redshift assumes that the rate of expansion of the universe is constant. However, when the universe was much younger, the expansion rate, and thus the Hubble "constant", was larger than it is today. For more distant galaxies, then, whose light has been travelling to us for much longer times, the approximation of constant expansion rate fails, and the Hubble law becomes a non-linear integral relationship and dependent on the history of the expansion rate since the emission of the light from the galaxy in question. Observations of the redshift-distance relationship can be used, then, to determine the expansion history of the universe and thus the matter and energy content.
While it was long believed that the expansion rate has been continuously decreasing since the Big Bang, recent observations of the redshift-distance relationship using Type Ia supernovae have suggested that in comparatively recent times the expansion rate of the universe has begun to accelerate.
Highest redshifts
Currently, the highest measured quasar redshift is z = 6.4, with the highest confirmed spectroscopic redshift of a galaxy being IOK-1, at a redshift z = 6.96, and the highest lensed galaxy redshift being z = 7.0 while as-yet unconfirmed reports from a gravitational lens observed in a distant galaxy cluster may indicate a galaxy with a redshift of z = 10.
The highest known redshift radio galaxy (TN J0924-2201) is at a redshift z = 5.2 and the highest known redshift molecular material is the detection of emission from the CO molecule from the quasar SDSS J1148+5251 at z = 6.42
Redshift surveys
With the advent of automated telescopes and improvements in spectroscopes, a number of collaborations have been made to map the universe in redshift space. By combining redshift with angular position data, a redshift survey maps the 3D distribution of matter within a field of the sky. These observations are used to measure properties of the large-scale structure of the universe. The Great Wall, a vast supercluster of galaxies over 500 million light-years wide, provides a dramatic example of a large-scale structure that redshift surveys can detect.
The first redshift survey was the CfA Redshift Survey, started in 1977 with the initial data collection completed in 1982. More recently, the 2dF Galaxy Redshift Survey determined the large-scale structure of one section of the Universe, measuring z-values for over 220,000 galaxies; data collection was completed in 2002, and the final data set was released 30 June 2003. (In addition to mapping large-scale patterns of galaxies, 2dF established an upper limit on neutrino mass.) Another notable investigation, the Sloan Digital Sky Survey (SDSS), is ongoing as of 2005 and aims to obtain measurements on around 100 million objects. SDSS has recorded redshifts for galaxies as high as 0.4, and has been involved in the detection of quasars beyond z = 6. The DEEP2 Redshift Survey uses the Keck telescopes with the new "DEIMOS" spectrograph; a follow-up to the pilot program DEEP1, DEEP2 is designed to measure faint galaxies with redshifts 0.7 and above, and it is therefore planned to provide a complement to SDSS and 2dF.
Effects due to physical optics or radiative transfer
The interactions and phenomena summarized in the subjects of radiative transfer and physical optics can result in shifts in the wavelength and frequency of electromagnetic radiation. In such cases the shifts correspond to a physical energy transfer to matter or other photons rather than being due to a transformation between reference frames. These shifts can be due to such physical phenomena as coherence effects or the scattering of electromagnetic radiation whether from charged elementary particles, from particulates, or from fluctuations of the index of refraction in a dielectric medium as occurs in the radio phenomenon of radio whistlers. While such phenomena are sometimes referred to as "redshifts" and "blue shifts", the physical interactions of the electromagnetic radiation field with itself or intervening matter distinguishes these phenomena from the reference-frame effects. In astrophysics, light-matter interactions that result in energy shifts in the radiation field are generally referred to as "reddening" rather than "redshifting" which, as a term, is normally reserved for the effects discussed above.
In many circumstances scattering causes radiation to redden because entropy results in the predominance of many low-energy photons over few high-energy ones (while conserving total energy). Except possibly under carefully controlled conditions, scattering does not produce the same relative change in wavelength across the whole spectrum; that is, any calculated z is generally a function of wavelength. Furthermore, scattering from random media generally occurs at many angles, and z is a function of the scattering angle. If multiple scattering occurs, or the scattering particles have relative motion, then there is generally distortion of spectral lines as well.
In interstellar astronomy, visible spectra can appear redder due to scattering processes in a phenomenon referred to as interstellar reddening — similarly Rayleigh scattering causes the atmospheric reddening of the Sun seen in the sunrise or sunset and causes the rest of the sky to have a blue colour. This phenomenon is distinct from redshifting because the spectroscopic lines are not shifted to other wavelengths in reddened objects and there is an additional dimming and distortion associated with the phenomenon due to photons being scattered in and out of the line of sight.

















